Product Details
Product Details
Product Specification
| Species | Mouse |
| Antigen | TNFRSF10B/TRAIL R2 |
| Synonyms | TNFRSF10B,TRAILR2,TRAIL-R2,CD262,DR5,KILLER,TRICK2,ZTNFR9 |
| Accession | Q9QZM4 |
| Amino Acid Sequence | Asn53-Ser177, with C-terminal Mouse IgG Fc NPAHNRPAGLQRPEESPSRGPCLAGQYLSEGNCKPCREGIDYTSHSNHSLDSCILCTVCKEDKVVETRCNITTNTVCRCKPGTFEDKDSPEICQSCSNCTDGEEELTSCTPRENRKCVSKTAWASIEGRMDPKSSDKTHTCPPCPAPELLGGPSVFLFPPKPKDTLMISRTPEVTCVVVDVSHEDPEVKFNWYVDGVEVHNAKTKPREEQYNSTYRVVSVLTVLHQDWLNGKEYKCKVSNKALPAPIEKTISKAKGQPREPQVYTLPPSRDELTKNQVSLTCLVKGFYPSDIAVEWESNGQPENNYKTTPPVLDSDGSFFLYSKLTVDKSRWQQGNVFSCSVMHEALHNHYTQKSLSLSPGK |
| Expression System | HEK293 |
| Molecular Weight | 45-60kDa (Reducing) |
| Purity | >95% by SDS-PAGE |
| Endotoxin | <0.1EU/μg |
| Conjugation | Unconjugated |
| Tag | Human Fc Tag |
| Physical Appearance | Lyophilized Powder |
| Storage Buffer | PBS, pH7.4 |
| Reconstitution | Reconstitute at 0.1-1 mg/ml according to the size in ultrapure water after rapid centrifugation. |
| Stability & Storage | · 12 months from date of receipt, lyophilized powder stored at -20 to -80℃. · 3 months, -20 to -80℃ under sterile conditions after reconstitution. · 1 week, 2 to 8℃ under sterile conditions after reconstitution. · Please avoid repeated freeze-thaw cycles. |
| Reference | 1.Walczak, H. et al. (1997) EMBO J. 16:5386. |
Background
TNFRSF10B, also called TRAIL R2 and DR5, is a member of the TNF receptor superfamily.TRAIL-R2 contains two extracellular cysteine-rich repeats, typical for TNF receptor (TNFR) family members, and a cytoplasmic death domain. TNFRSF10B / DR-5 is widely expressed in adult and fetal tissues; very highly expressed in tumor cell lines. Human and mouse TRAIL R2 share 49% amino acid sequence similarity. Some studies have suggested that TNFRSF10B contributes more than TNFRSF10A (TRAIL R1) to TRAIL-induced apoptosis in cancer cells that express both receptors. In addition, agonistic monoclonal antibodies against TNFRSF10B, which can induce apoptosis in the absence of TRAIL, are used for cancer therapies.
Picture
Picture
SDS-PAGE

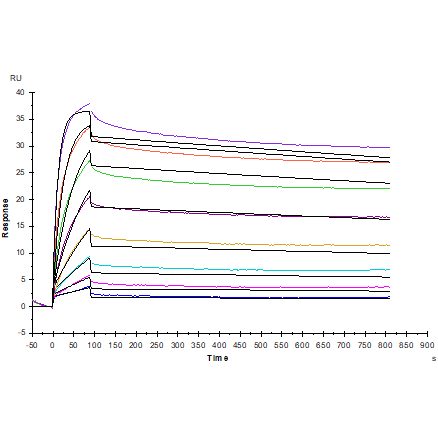
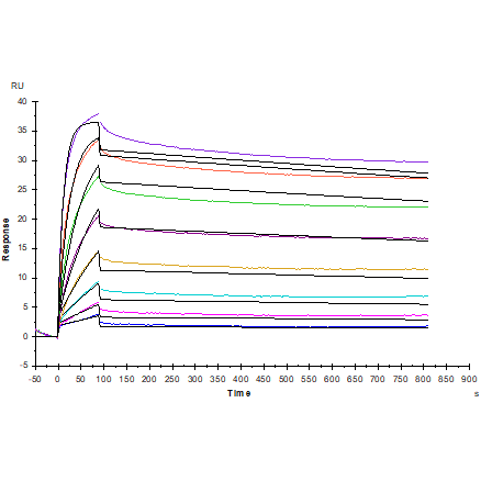
SPR

Protein A Chip captured TNFRSF10B/TRAIL R2 Fc Chimera, Mouse (Cat. No. UA010499), can bind TRAIL/Apo2L, Human(Cat. No. UA040039) with an affinity constant of 0.59nM as determined in SPR assay.
