1μg (R: reducing condition, N: non-reducing condition).
Product Details
Product Details
Product Specification
Species | Cynomolgus |
Synonyms | Killer cell lectin-like receptor subfamily K member 1,NK cell receptor D,NKG2-D-activating NK receptor,CD314,D12S2489E,KLR,DNA Segment On Chromosome 12 (Unique) 2489 Expressed Sequence,Killer Cell Lectin Like Receptor K1,NKG2-D,Killer Cell Lectin-Like Receptor Subfamily K, Member 1,KLRK1,CD314 Antigen |
Accession | P61252 |
Amino Acid Sequence | Trp74-Val216, with N-terminal His |
Expression System | HEK293 |
Molecular Weight | 30-43kDa (Reducing) |
Purity | >95% by SDS-PAGE & >95% by SEC-HPLC |
Endotoxin | <0.1EU/μg |
Conjugation | Unconjugated |
Tag | His Tag |
Physical Appearance | Lyophilized Powder |
Storage Buffer | PBS, PH7.4, 5% trehalose |
Reconstitution | Reconstitute at 0.1-1 mg/ml according to the size in ultrapure water after rapid centrifugation. |
Stability & Storage | · 12 months from date of receipt, lyophilized powder stored at -20 to -80℃. · 3 months, -20 to -80℃ under sterile conditions after reconstitution. · 1 week, 2 to 8℃ under sterile conditions after reconstitution. · Please avoid repeated freeze-thaw cycles. |
Reference | 1.Cerwenka, A. et al. (2001) Proc. Natl. Acad. Sci. USA 98:11521. |
Background
NKG2D is a type II transmembrane glycoprotein having an extracellular lectin-like domain. This domain lacks the recognizable calcium-binding sites found in true C-type lectins and binds protein rather than carbohydrate ligands. Human ligands for NKG2D include MICA, MICB, and ULBP1, 2, and 3. Expression of NKG2D ligands occurs in epithelial cells, tumor cells and under conditions of stress or infection. NKG2D exists as a disulfide-linked homodimer that delivers an activating signal upon ligand binding. Signaling requires association with an adapter protein. Alternative splicing of the NKG2D mRNA results in isoforms with different cytoplasmic domains that can associate either with DAP12 to deliver a true activating signal or with DAP10 resulting in a costimulatory signal. NKG2D has been implicated in anti-tumor surveillance and the immune response against viral infection. In NK cells, NKG2D serves as an activating receptor, which itself is able to trigger cytotoxicity. The function of NKG2D on CD8+ T cells is to send co-stimulatory signals to activate them.
Picture
Picture
SDS-PAGE

SEC-HPLC
The purity of NKG2D/CD314 His Tag, Cynomolgus is more than 95% determined by SEC-HPLC.
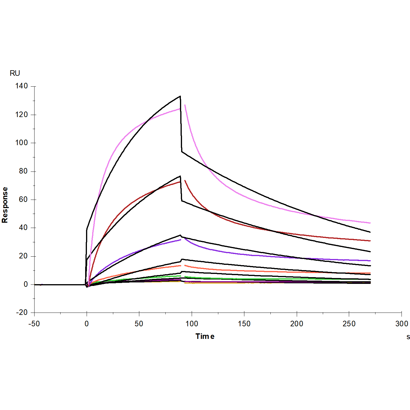
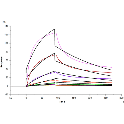
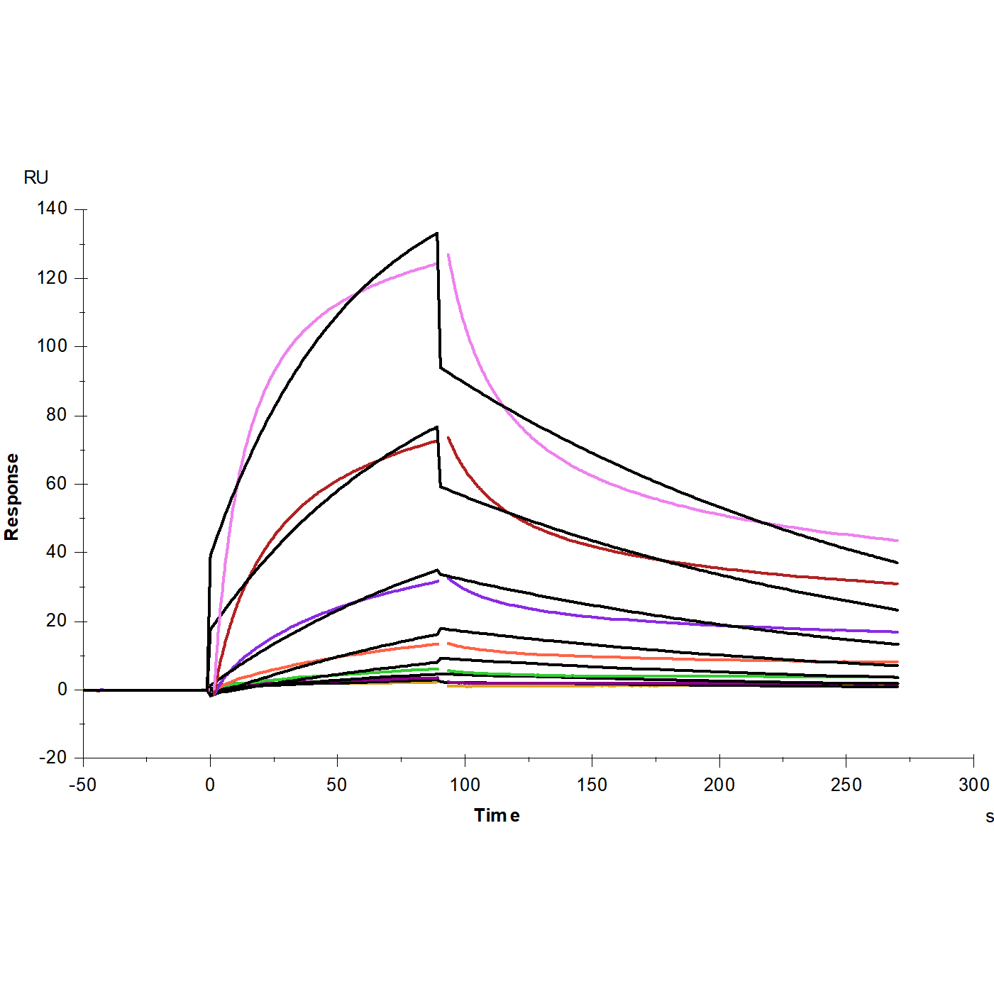
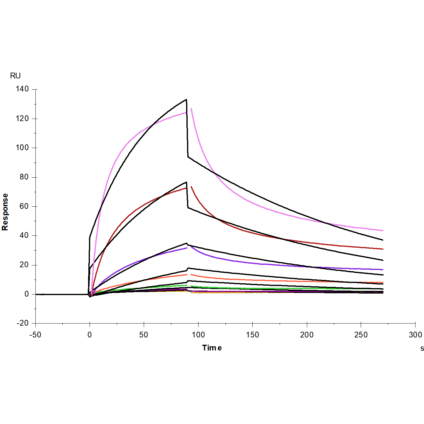
SPR

Protein A Chip captured MICB Fc Chimera protein, Human (Cat. No. UA010583), can bind NKG2D/CD314 His Tag, Cynomolgus (Cat. No. UA010978) with an affinity constant of 1.55μM as determined in SPR assay.

