1μg (R: reducing conditions, N: non-reducing conditions).
Product Details
Product Details
Product Specification
Species | Cynomolgus |
Synonyms | IL3R, IL3RA, IL-3Ra, IL-3R-alpha, IL3RAY, IL3RX, IL3RY, CD123 antigen, hIL3Ra, hIL-3Ra, MGC34174, IL-3 R alpha |
Accession | G8F3K3-1 |
Amino Acid Sequence | Arg18-Arg302, with C-terminal 8*His RTKEDPNAPIRNLRMKEKAQQLMWDLNRNVTDVECIKGTDYSMPAMNNSYCQFGAISLCEVTNYTVRVASPPFSTWILFPENSGTPRAGAENLTCWVHDVDFLSCSWVVGPAAPADVQYDLYLNNPNSHEQYRCLHYKTDARGTQIGCRFDDIAPLSRGSQSSHILVRGRSAAVSIPCTDKFVFFSQIERLTPPNMTGECNETHSFMHWKMKSHFNRKFRYELRIQKRMQPVRTEQVRDTTSFQLPNPGTYTVQIRARETVYEFLSAWSTPQRFECDQEEGASSRGGGSHHHHHHHH |
Expression System | HEK293 |
Molecular Weight | 50-65kDa |
Purity | >95% by SDS-PAGE |
Endotoxin | <0.1EU/μg |
Conjugation | Unconjugated |
Tag | His Tag |
Physical Appearance | Lyophilized Powder |
Storage Buffer | PBS, pH7.4 |
Reconstitution | Reconstitute at 0.1-1 mg/ml according to the size in ultrapure water after rapid centrifugation. |
Stability & Storage | · 12 months from date of receipt, lyophilized powder stored at -20 to -80℃. · 3 months, -20 to -80℃ under sterile conditions after reconstitution. · 1 week, 2 to 8℃ under sterile conditions after reconstitution. · Please avoid repeated freeze-thaw cycles. |
Reference | 1. LIU, KEQIANG, ZHU, MENGRU, HUANG, YAO, et al. CD123 and its potential clinical application in leukemias [J]. Life sciences,2015,122(1):59-64. |
Background
Human IL-3 Rα is expressed from human 293 cells. It contains AA Thr19 - Arg305. This protein carries a polyhistidine tag at the C-terminus. Interleukin 3 receptor alpha (low affinity) (IL3RA), also known as CD123 (Cluster of Differentiation 123) is a 45-62kDa glycoprotein member of the hematopoietin receptor superfamily. This protein associates with a beta subunit common to the receptors for IL-5 and granulocyte-macrophage colony-stimulating factor (GM-CSF) to form a high-affinity receptor for IL-3. The interleukin-3 receptor α chain (CD123) has been identified as a potential immunotherapeutic target because it is overexpressed in AML compared with normal hematopoietic stem cells.
Picture
Picture
SDS-PAGE

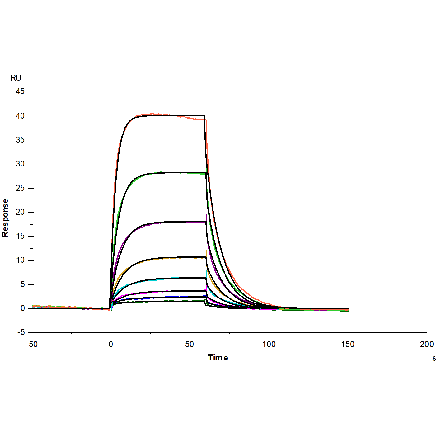
SPR

Anti-His antibody Immobilized on CM5 Chip captured IL-3 Rα/CD123 His Tag Protein, Cynomolgus (Cat. No. UA010614), can bind IL-3 Protein, Human (Cat. No. UA040068) with an affinity constant of 0.13 μM as determined in SPR assay.

