Product Details
Product Details
Product Specification
Species | Mouse |
Synonyms | Low affinity immunoglobulin gamma Fc region receptor IV;CD16-2;Fc γ RIV |
Accession | A0A0B4J1G0-1 |
Amino Acid Sequence | Gly21-Gln203, with C-terminal His |
Expression System | HEK293 |
Molecular Weight | 28-35kDa(Reducing) |
Purity | >95%, by SDS-PAGE under reducing conditions |
Endotoxin | <0.1EU/μg |
Conjugation | Unconjugated |
Tag | His Tag |
Physical Appearance | Lyophilized Powder |
Storage Buffer | PBS, pH7.4 |
Reconstitution | Reconstitute at less than 1 mg/mL according to the size in ultrapure water after rapid centrifugation . |
Stability & Storage | · 12 months from date of receipt, lyophilized powder stored at -20 to -80℃. · 3 months, -20 to -80℃ under sterile conditions after reconstitution. · 1 week, 2 to 8℃ under sterile conditions after reconstitution. · Please avoid repeated freeze-thaw cycles. |
Background
Fc γ RIV (Low affinity immunoglobulin gamma Fc region receptor IV), also known as CD16-2 (Fc γ RIV), belongs to the Fc γ receptor family. Fc γ receptors can be divided into three types: Fc γ RI (CD64), Fc γ RII (CD32) and Fc γ RIII (CD16). Fc γ RI (CD64) has a high affinity for IgG monomers, while Fc γ RII (CD32) and Fc γ RIII (CD16) have relatively low affinity for IgG. Human CD16 is encoded by two genes, Fc γ RIIIA and Fc γ RIIIB. The gene sequence of CD16-2 is more similar to human Fc γ RIIIA protein. Fc γ RIV binding with IgG2a can promote osteocyte differentiation, while binding with IgE can promote macrophage-mediated phagocytosis, antigen presentation and pro-inflammatory cytokines production.
Picture
Picture
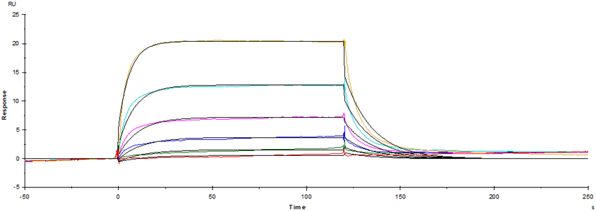
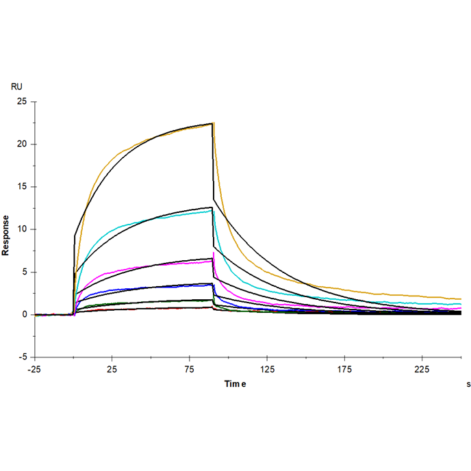
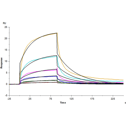
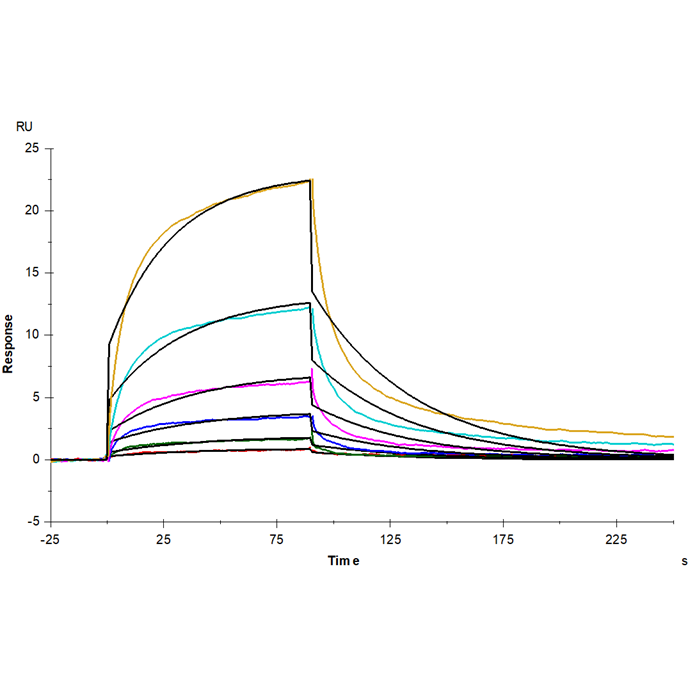
Bioactivity


SDS-PAGE

RP-HPLC




