Product Details
Product Details
Product Specification
Species | Cynomolgus |
Synonyms | Low Affinity Immunoglobulin Gamma Fc Region Receptor III-A; CD16a Antigen; Fc-Gamma RIII-Alpha; Fc-Gamma RIII; Fc-gamma RIIIa; FcRIII; FcRIIIa; FcR-10; IgG Fc Receptor III-2; CD16a; FCGR3A; CD16A; FCG3; FCGR3; IGFR3 |
Accession | Q8SPW2-1 |
Amino Acid Sequence | Gly17-Gln208, with C-terminal His |
Expression System | HEK293 |
Molecular Weight | 37-46 kDa(reducing) |
Purity | >95%, by SDS-PAGE under reducing conditions |
Endotoxin | <0.1EU/μg |
Conjugation | Unconjugated |
Tag | His Tag |
Physical Appearance | Lyophilized Powder |
Storage Buffer | PBS, pH7.4 |
Reconstitution | Reconstitute at less than 1 mg/mL according to the size in ultrapure water after rapid centrifugation . |
Stability & Storage | · 12 months from date of receipt, lyophilized powder stored at -20 to -80℃. · 3 months, -20 to -80℃ under sterile conditions after reconstitution. · 1 week, 2 to 8℃ under sterile conditions after reconstitution. · Please avoid repeated freeze-thaw cycles. |
Background
IgG Fc receptor (Fc γ R) is a member of the Ig superfamily, which plays a role in activating or inhibiting immune response. Human Fc γ Rs is identified as three types: RI (CD64), RII (CD32) and RIII (CD16). CD16 is a low-affinity Fc receptor, which has been identified as Fc receptor Fc γ RIII (a (CD16a) and Fc γ RIIIb (CD16b). These receptors bind to the Fc portion of the IgG antibody and are encoded by two different highly homologous genes in a cell type-specific manner. Mature crab-eating monkey Fc γ RIII consists of an extracellular domain of 192 amino acids, a transmembrane segment of 21 amino acids and a cytoplasmic domain of 25 amino acids. The extracellular domain has 92% and 90% amino acid homology with human Fc γ RIIIA and Fc γ RIIIB, respectively. Fc γ RIII is expressed on NK cells, T cells, monocytes and macrophages, and exists on the surface of natural killer cells, neutrophils, polymorphonuclear leukocytes, monocytes and macrophages. It is involved in phagocytosis, secretion of enzymes and inflammatory mediators, antibody-dependent cytotoxicity and clearance of immune complexes.
Picture
Picture
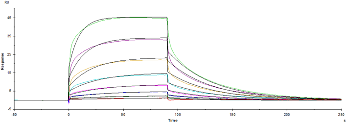
Bioactivity

SDS-PAGE

RP-HPLC



