Product Details
Product Details
Product Specification
Species | Rat |
Synonyms | Low affinity immunoglobulin gamma Fc region receptor II-a, IgG Fc receptor II-a, CDw32, Fc-gamma RII-a, Fc-gamma-RIIa, FcRII-a, CD32, FCGR2A, FCG2, FCGR2A1, IGFR2 |
Amino Acid Sequence | Gln34-Leu216, with C-terminal His |
Expression System | HEK293 |
Molecular Weight | 34-53 kDa(reducing) |
Purity | >95%, by SDS-PAGE under reducing conditions |
Endotoxin | <0.2EU/μg |
Conjugation | Unconjugated |
Tag | His Tag |
Physical Appearance | Lyophilized Powder |
Storage Buffer | PBS, pH7.4 |
Reconstitution | Reconstitute at less than 1 mg/mL according to the size in ultrapure water after rapid centrifugation . |
Stability & Storage | · 12 months from date of receipt, lyophilized powder stored at -20 to -80℃. · 3 months, -20 to -80℃ under sterile conditions after reconstitution. · 1 week, 2 to 8℃ under sterile conditions after reconstitution. · Please avoid repeated freeze-thaw cycles. |
Background
IgG Fc receptor (Fc γ R) is a member of the Ig superfamily, which plays a role in activating or inhibiting immune response. Human Fc γ Rs is identified as three types: RI (CD64), RII (CD32) and RIII (CD16) can produce multiple subtypes. CD32 is a low affinity receptor of IgG. There are 3 Fc γ RII / CD32 genes (A, B and C) in human, 2 genes in monkeys (An and B) and one Fc γ RII B in mice. Mature Fc γ RIIA is a type 1 transmembrane glycoprotein. About 40 kDa is composed of extracellular domain, transmembrane domain and cytoplasmic domain, and the extracellular domain includes two IgG domains. The extracellular domain Fc γ RIIA of rat shares 52% of the amino acid sequence with that of human Fc γ RIIA. CD32a is expressed in a variety of immune cells, such as macrophages, neutrophils, platelets and so on. Inhibition of ITIM receptors may also be co-expressed and co-participated by specific ligands to initiate inflammatory responses during ligand binding, including cytolysis, phagocytosis, degranulation and production of cytokines. This response can be regulated by co-expression of inhibitory receptors such as CD32B, and the intensity of the signal depends on the proportion of activated and inhibitory receptors.
Picture
Picture
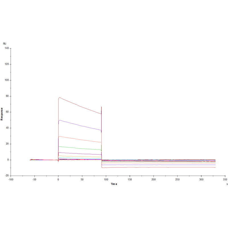
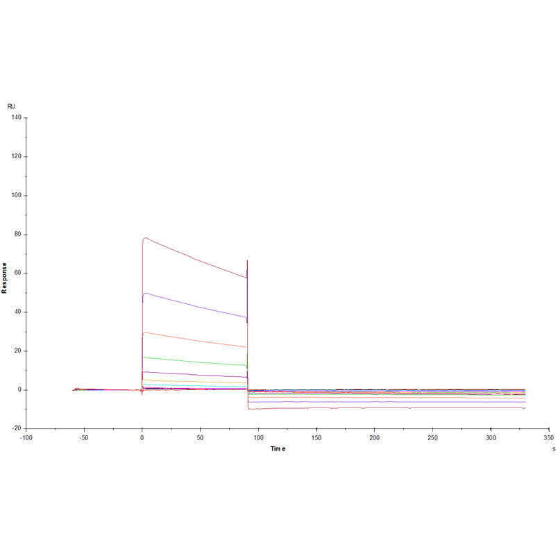
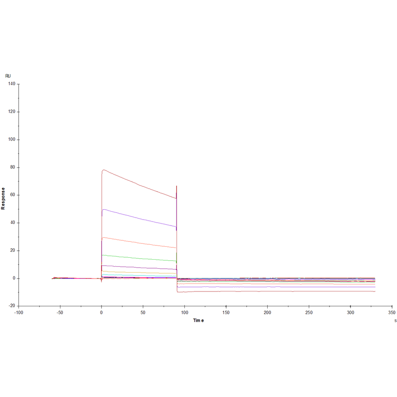
Bioactivity

SDS-PAGE

RP-HPLC



