1μg (R: reducing conditions, N: non-reducing conditions).
Product Details
Product Details
Product Specification
Species | Human |
Synonyms | CD27 ligand, CD27L, CD27LG, TNFSF7, CD70 |
Accession | P32970 |
Amino Acid Sequence | Gln39-Pro193, with N-terminal Human IgG1 Fc PKSSDKTHTCPPCPAPELLGGPSVFLFPPKPKDTLMISRTPEVTCVVVDVSHEDPEVKFNWYVDGVEVHNAKTKPREEQYNSTYRVVSVLTVLHQDWLNGKEYKCKVSNKALPAPIEKTISKAKGQPREPQVYTLPPSRDELTKNQVSLTCLVKGFYPSDIAVEWESNGQPENNYKTTPPVLDSDGSFFLYSKLTVDKSRWQQGNVFSCSVMHEALHNHYTQKSLSLSPGKIEGRQRFAQAQQQLPLESLGWDVAELQLNHTGPQQDPRLYWQGGPALGRSFLHGPELDKGQLRIHRDGIYMVHIQVTLAICSSTTASRHHPTTLAVGICSPASRSISLLRLSFHQGCTIASQRLTPLARGDTLCTNLTGTLLPSRNTDETFFGVQWVRP |
Expression System | HEK293 |
Molecular Weight | 45-50kDa |
Purity | >95% by SDS-PAGE |
Endotoxin | <0.1EU/μg |
Conjugation | Unconjugated |
Tag | Human Fc |
Physical Appearance | Lyophilized Powder |
Storage Buffer | PBS, pH7.4 |
Reconstitution | Reconstitute at 0.1-1 mg/ml according to the size in ultrapure water after rapid centrifugation. |
Stability & Storage |
· 12 months from date of receipt, lyophilized powder stored at -20 to -80℃. · 3 months, -20 to -80℃ under sterile conditions after reconstitution. · 1 week, 2 to 8℃ under sterile conditions after reconstitution. · Please avoid repeated freeze-thaw cycles. |
Reference | 1. Goodwin RG, Alderson MR, Smith CA, et al. Molecular and biological characterization of a ligand for CD27 defines a new family of cytokines with homology to tumor necrosis factor. Cell. 1993;73:447-456. |
Background
The TNFSF7 gene (Tumor Necrosis Factor Ligand Superfamily, member 7) localized on C19p13 is a surface antigen found on activated, but not resting, T and B lymphocytes. It is a 19 amino acid protein containing a 20-amino acid hydrophilic N-terminal domain that lacks a signal sequence; an 18-amino acid hydrophobic region that presumably functions as a transmembrane anchor; and a C-terminal domain that contains 2 potential N-linked glycosylation sites is extracellular classifying TNFSF7 as a type II transmembrane protein. TNFSF7 expressed on a subset of B, T and NK cells, where it plays a costimulatory role in immune cell activation. TNFSF7 is homologous to the ligands of the TNF receptor family, including TNF-alpha, TNF-beta and the CD40 ligand, showing 19 to 24% amino acid sequence identity in the extracellular region. TNFSF7 gene expression is epigenetically down-regulated via DNA hypermethylation within its promoter region during progression in breast cancer cells in the isogenic MCF10 model.
Picture
Picture
SDS-PAGE

ELISA

Immobilized CD27/TNFRSF7 His Tag, Human (Cat. No. UA010124) at 2.0μg/mL (100μL/well) can bind CD27 Ligand/TNFSF7 Fc Chimera, Human (Cat. No. UA010611) with EC50 of 5.89-20.94ng/mL.

Serial dilutions of V6 Anti-Human CD70 (Cusatuzumab) were added into CD27 Ligand/TNFSF7 Fc Chimera Protein, Human (Cat. No. UA010611): Biotinylated CD27/TNFRSF7 His Tag Protein, Human binding reactions. The half maximal inhibitory concentration (IC50) is 0.069μg/mL.
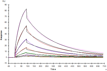
Molecular Interaction

Protein A Chip captured CD27 Ligand/TNFSF7 Fc Chimera, Human (Cat. No. UA010611), can bind CD27/TNFRSF7 His Tag, Human (Cat. No. UA010124) with an affinity constant of 1.16μM as determined in SPR assay.



