Product Details
Product Details
Product Specification
Species | Mouse |
Synonyms | ACVR2B, Activin Receptor Type-2B, ACTRIIB, MGC116908 |
Accession | P27040 |
Amino Acid Sequence |
Ser19-Thr134, with C-terminal Mouse mIgG2a Fc SGRGEAETRECIYYNANWELERTNQSGLERCEGEQDKRLHCYASWRNSSGTIELVKKGCWLDDFNCYDRQECVATEENPQVYFCCCEGNFCNERFTHLPEPGGPEVTYEPPPTAPTIEGRMDPEPRGPTIKPCPPCKCPAPNLLGGPSVFIFPPKIKDVLMISLSPIVTCVVVDVSEDDPDVQISWFVNNVEVHTAQTQTHREDYNSTLRVVSALPIQHQDWMSGKEFKCKVNNKDLPAPIERTISKPKGSVRAPQVYVLPPPEEEMTKKQVTLTCMVTDFMPEDIYVEWTNNGKTELNYKNTEPVLDSDGSYFMYSKLRVEKKNWVERNSYSCSVVHEGLHNHHTTKSFSRTPGK |
Expression System | HEK293 |
Molecular Weight | 58-70kDa |
Purity | >95% by SDS-PAGE |
Endotoxin | <0.1EU/μg |
Conjugation | Unconjugated |
Tag | Mouse Fc Tag |
Physical Appearance | Lyophilized Powder |
Storage Buffer | PBS, pH7.4 |
Reconstitution | Reconstitute at 0.1-1 mg/ml according to the size in ultrapure water after rapid centrifugation. |
Stability & Storage |
· 12 months from date of receipt, lyophilized powder stored at -20 to -80℃. · 3 months, -20 to -80℃ under sterile conditions after reconstitution. · 1 week, 2 to 8℃ under sterile conditions after reconstitution. · Please avoid repeated freeze-thaw cycles. |
Reference |
1、Attisano L. et al. (1996) Activation of signalling by the activin receptor complex. Mol Cell Biol. 16(3): 1066-1073. 2、Woodruff T K. et al. (1998) Regulation of cellular and system function by activin. Biochem Pharmacol. 55(7): 953-963. |
Background
Activin receptor type-2B (ACVR2B) is also known as ActR-IIB and MGC116908, ACVR2B is an activin type 2 receptor. Activins are dimeric growth and differentiation factors which belong to the transforming growth factor-beta (TGF-beta) superfamily of structurally related signaling proteins. Activins signal through a heteromeric complex of receptor serine kinases which include at least two type I (I and IB) and two type II (II and IIB) receptors. These receptors are all transmembrane proteins, composed of a ligand-binding extracellular domain with cysteine-rich region, a transmembrane domain, and a cytoplasmic domain with predicted serine/threonine specificity. Type I receptors are essential for signaling;and type II receptors are required for binding ligands and for expression of type I receptors. Type I and II receptors form a stable complex after ligand binding, resulting in phosphorylation of type I receptors by type II receptors. Type II receptors are considered to be constitutively active kinases. This gene encodes activin A type IIB receptor, which displays a 3- to 4-fold higher affinity for the ligand than activin A type II receptor.
Picture
Picture
SDS-PAGE

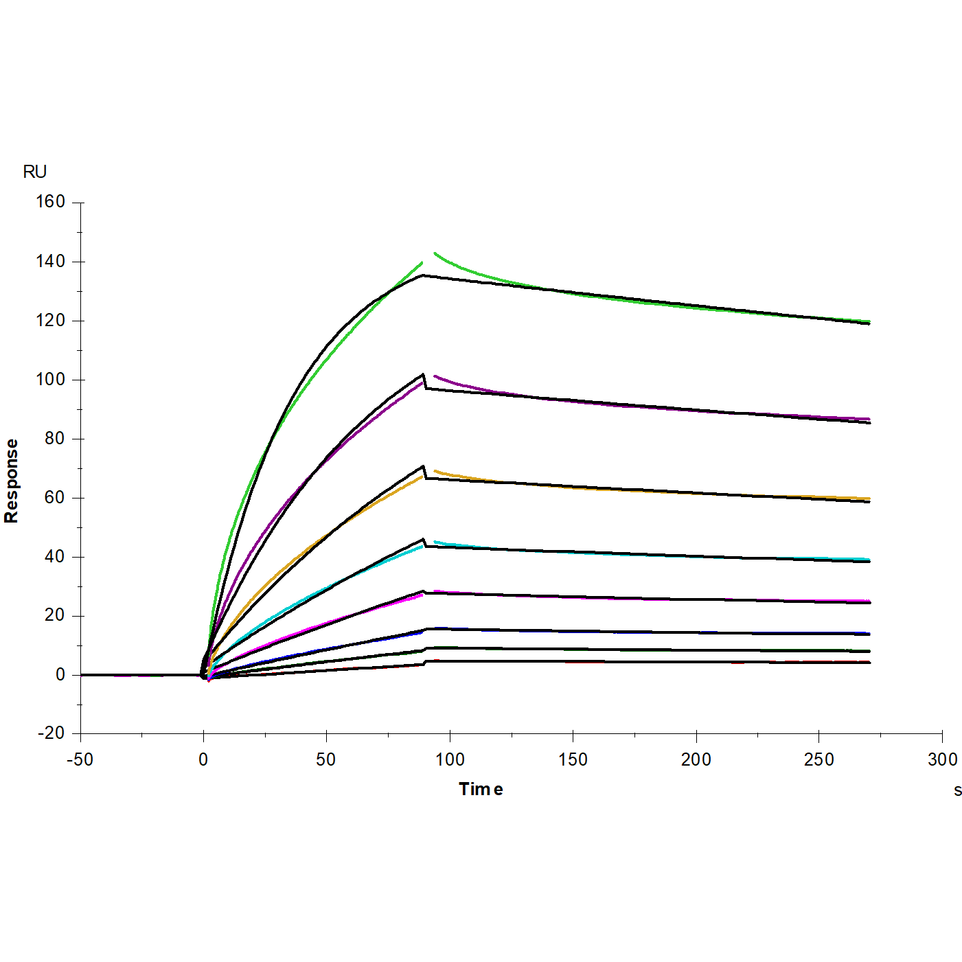
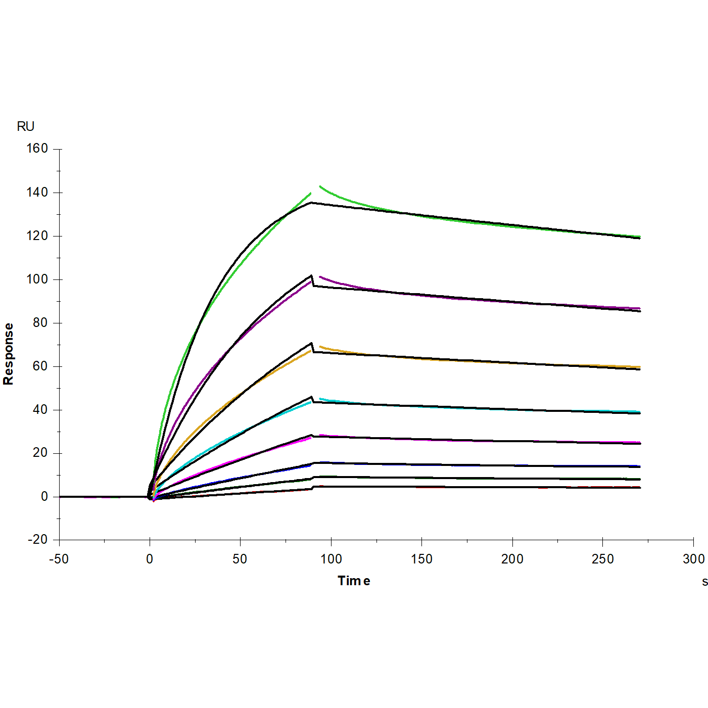
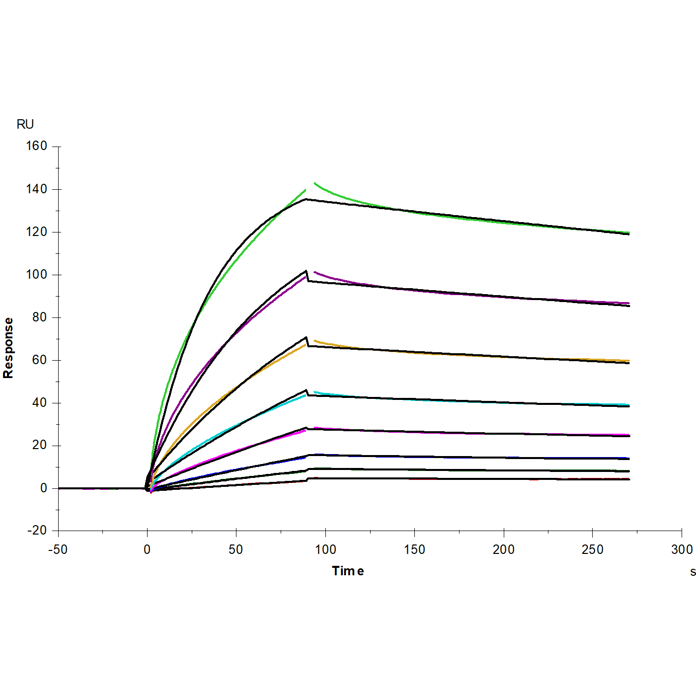
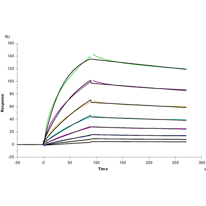
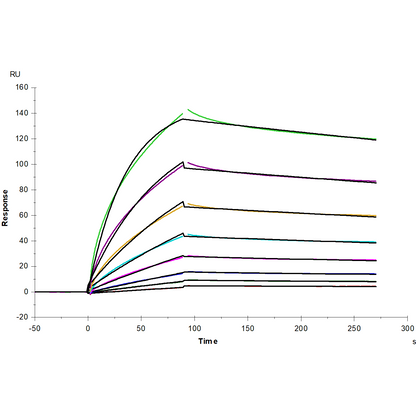
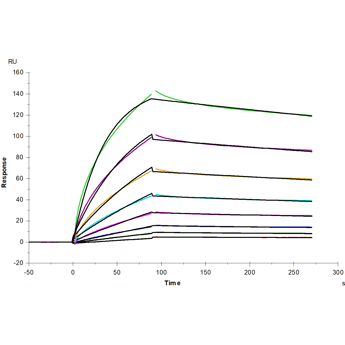
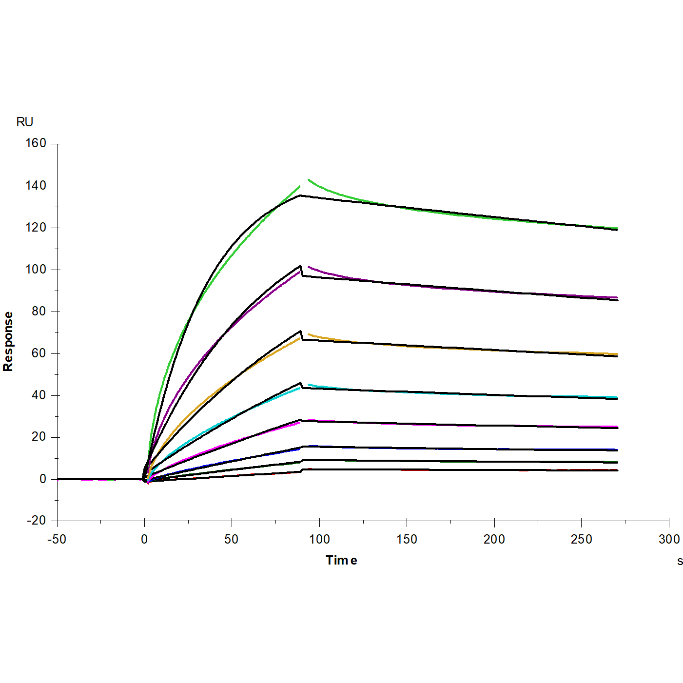
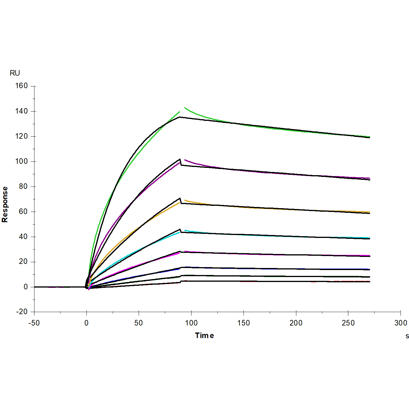
SPR

CM5 Chip captured Activin A Protein, Human/Mouse/Rat (Cat. No. UA040343), can bind ACVR2B mFc Chimera, Mouse (Cat. No. UA010218) with an affinity constant of 51.66nM as determined in SPR assay.

CM5 Chip captured Activin A Protein, Human (Cat. No. UA040178), can bind ACVR2B mFc Chimera, Mouse (Cat. No. UA010218) with an affinity constant of 35.84nM as determined in SPR assay.


