1μg (R: reducing conditions, N: non-reducing conditions).
Product Details
Product Details
Product Specification
Species | Human |
Synonyms | IGFBP3, IBP3, IBP-3, IGF-binding protein 3, IGFBP-3 |
Accession | P17936-1 |
Amino Acid Sequence | Gly28-Lys291, with C-terminal 10*His GASSAGLGPVVRCEPCDARALAQCAPPPAVCAELVREPGCGCCLTCALSEGQPCGIYTERCGSGLRCQPSPDEARPLQALLDGRGLCVNASAVSRLRAYLLPAPPAPGNASESEEDRSAGSVESPSVSSTHRVSDPKFHPLHSKIIIIKKGHAKDSQRYKVDYESQSTDTQNFSSESKRETEYGPCRREMEDTLNHLKFLNVLSPRGVHIPNCDKKGFYKKKQCRPSKGRKRGFCWCVDKYGQPLPGYTTKGKEDVHCYSMQSKGGGSGGGSHHHHHHHHHH |
Expression System | HEK293 |
Molecular Weight | 47-54kDa |
Purity | >95% by SDS-PAGE |
Endotoxin | <0.1EU/μg |
Conjugation | Unconjugated |
Tag | His Tag |
Physical Appearance | Lyophilized Powder |
Storage Buffer | PBS, pH7.4 |
Reconstitution | Reconstitute at 0.1-1 mg/ml according to the size in ultrapure water after rapid centrifugation. |
Stability & Storage | · 12 months from date of receipt, lyophilized powder stored at -20 to -80℃. · 3 months, -20 to -80℃ under sterile conditions after reconstitution. · 1 week, 2 to 8℃ under sterile conditions after reconstitution. · Please avoid repeated freeze-thaw cycles. |
Reference | 1. Ling (1991) Prog. Growth Factor Res. 3:243. 2. Baxter, R.C. (2013) J. Cell Commun. Signal 7:179. |
Background
Insulin-like growth factor binding protein-3 (IGFBP-3) is a member of the IGFBP family. Human IGFBP-3 is comprised of 264 amino acids, of which the molecular mass is 28.7 kDa without any post-translational modifications. The primary structures of human IGFBP-3 consist of three distinct domains: a highly conserved cysteine-rich N- and C-terminal domains and a nonconserved central domain. Insulin-like growth factor binding protein-3 (IGFBP-3) is a p53 tumor suppressor-regulated protein and a major carrier for IGFs in circulation. Disruption of IGFBP-3 at transcriptional and post-translational levels has been implicated in the pathophysiology of many different types of cancer including breast, prostate, and lung cancer. The principal action of IGFBP-3 is to transport IGF-I and IGF-II in circulation, and, thereby, prolong the half-life of IGFs. IGFBP-3 can inhibit or enhance IGF actions, depending on cell types, the cellular environment, IGFBP-3 concentration, and post-translational modifications such as glycosylation, proteolysis, and phosphorylation. Moreover, IGFBP-3 inhibits insulin-stimulated glucose uptake into adipocytes independent of IGF.
Picture
Picture
SDS-PAGE

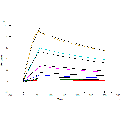
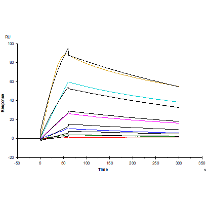
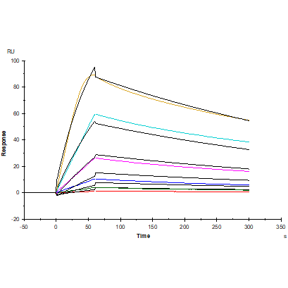
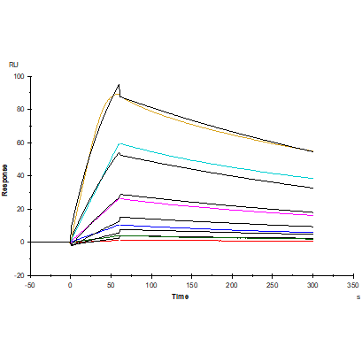
SPR

Anti-His antibody Immobilized on CM5 Chip captured IGFBP-3 His Tag, Human (Cat. No. UA010654), can bind IGF-I, Human (Cat. No. UA040055) with an affinity constant of 9.01 nM as determined in SPR assay.

