Skip to product information
1 of 6

TNFR-1/CD120a Protein, Human

TNFR-1/CD120a Protein, Human

Catalog Number: UA040028 Reactivity: Human Conjugation: Unconjugated Brand: UA BIOSCIENCE
Price:
Regular price $136 USD
Regular price Sale price $136 USD
Size:
For shipping services or bulk orders, you may request a quotation.
Secure checkout with
View full details

Product Details

Product Specification


Species Human
Accession P19438
Amino Acid Sequence

Leu30-Thr211, with C-terminal 8*His LVPHLGDREKRDSVCPQGKYIHPQNNSICCTKCHKGTYLYNDCPGPGQDTDCRECESGSFTASENHLRHCLSCSKCRKEMGQVEISSCTVDRDTVCGCRKNQYRHYWSENLFQCFNCSLCLNGTVHLSCQEKQNTVCTCHAGFFLRENECVSCSNCKKSLECTKLCLPQIENVKGTEDSGTTGGGSHHHHHHHH

Expression System HEK293
Molecular Weight

28-38kDa (Reducing)

Purity

>95% by SDS-PAGE

Endotoxin <0.1EU/μg
Conjugation Unconjugated
Tag His Tag
Physical Appearance Lyophilized Powder
Storage Buffer

PBS, pH7.4

Reconstitution

Reconstitute at 0.1-1 mg/ml according to the size in ultrapure water after rapid centrifugation.

Stability & Storage

· 12 months from date of receipt, lyophilized powder stored at -20 to -80℃.

· 3 months, -20 to -80℃ under sterile conditions after reconstitution.

· 1 week, 2 to 8℃ under sterile conditions after reconstitution.

· Please avoid repeated freeze-thaw cycles.

Background

TNFR-1 is a member of the TNF receptor superfamily of proteins which is found in membrane-bound and soluble forms that interact with membrane-bound and soluble forms, respectively, of its ligand, tumor necrosis factor alpha. Binding of membrane-bound tumor necrosis factor alpha to the membrane-bound receptor induces receptor trimerization and activation, which plays a role in cell survival, apoptosis, and inflammation. Proteolytic processing of the encoded receptor results in release of the soluble form of the receptor, which can interact with free tumor necrosis factor alpha to inhibit inflammation. Mice lacking a functional copy of this gene exhibit impaired immune function.

Picture

Bioactivity

Immobilized TNF-α, Human (Cat. No. UA040005) at 10μg/ml (100μl/well) can bind TNFR-1/CD120a His Tag, Human (Cat. No. UA040028) with EC50 of 0.167 μg/ml.
Measured by its ability to inhibit the TNF-α mediated cytotoxicity in the L‑929 mouse fibroblast cells in the presence of the metabolic inhibitor actinomycin D.The EC50 for this effect is less than 2.5ng/mL in the presence of 0.25 ng/mL Recombinant Human TNF‑α.

SDS-PAGE

2μg (R: reducing conditions, N: non-reducing conditions).

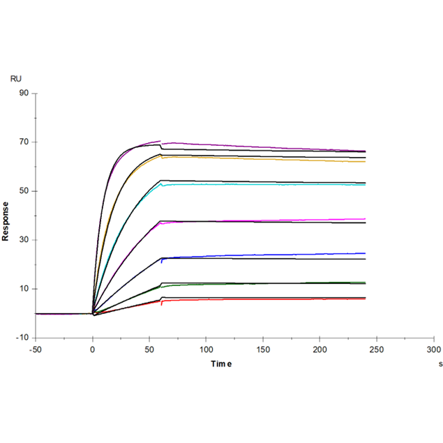
SPR

Anti-His antibody Immobilized on CM5 Chip captured TNFR-1/CD120a His Tag, Human (Cat. No. UA040028), can bind TNF-α, Human (Cat. No. UA040005) with an affinity constant of 0.106nM as determined in SPR assay.

Anti-His antibody Immobilized on CM5 Chip captured TNFR-1/CD120a His Tag, Human (Cat. No. UA040028), can bind TNF-α, Human (Cat. No. UA040018) with an affinity constant of 0.23 nM as determined in SPR assay.

Anti-His antibody Immobilized on CM5 Chip captured TNFR-1/CD120a His Tag, Human (Cat. No. UA040028), can bind TNF-α(80-235aa), Mouse (Cat. No. UA040059) with an affinity constant of 1.24 nM as determined in SPR assay.

Customer Reviews

Be the first to write a review
0%
(0)
0%
(0)
0%
(0)
0%
(0)
0%
(0)