Skip to product information
1 of 7

TNF-α Protein, Human

TNF-α Protein, Human

Catalog Number: UA040018 Reactivity: Human Conjugation: Unconjugated Brand: UA BIOSCIENCE
Price:
Regular price $121.00 SGD
Regular price Sale price $121.00 SGD
Size:
For shipping services or bulk orders, you may request a quotation.
Secure checkout with
View full details

Product Details

Product Specification


Species Human
Accession P01375
Amino Acid Sequence

Val77-Leu233

Expression System E.coli
Molecular Weight

17kDa (Reducing)

Purity

>95% by SDS-PAGE

Endotoxin <1EU/μg
Conjugation Unconjugated
Tag No Tag
Physical Appearance Lyophilized Powder
Storage Buffer

PBS, pH7.4

Reconstitution

Reconstitute at 0.1-1mg/mL according to the size in ultrapure water after rapid centrifugation.

Stability & Storage

· 12 months from date of receipt, lyophilized powder stored at -20 to -80℃.

· 3 months, -20 to -80℃ under sterile conditions after reconstitution.

· 1 week, 2 to 8℃ under sterile conditions after reconstitution.

· Please avoid repeated freeze-thaw cycles.

Background

Tumor Necrosis Factor alpha (TNF-α), is an inflammatory cytokine produced by macrophages/monocytes during acute inflammation and is responsible for a diverse range of signaling events within cells, leading to necrosis or apoptosis. TNF alpha exerts many of its effects by binding to either a 55 kDa cell membrane receptor termed. TNFα activates signals through two receptors, TNF-R1, which is expressed on most cell types, and TNF-R2, which is expressed mainly on immune cells. TNFα can have many functions including, to stimulate of phagocytosis in macrophages, to chemoattract neutrophils, to increase insulin resistance and to induce fever.

Picture

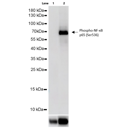
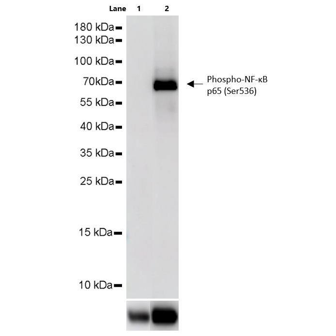
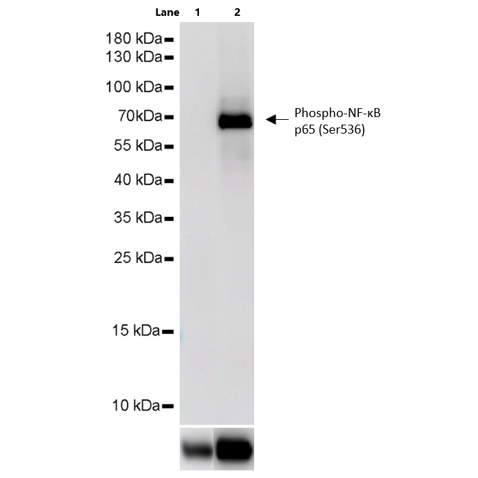
Western Blot

Primary antibody: Phospho-NF-κB p65 (Ser536) Recombinant Rabbit mAb at 1/1000 dilution

Lane 1: HeLa treated with 100 ng/ml Calyculin A for 30 minutes, whole cell lysate 20 µg

Lane 2: HeLa treated with 100 ng/ml Calyculin A for 30 minutes and 20 ng/ml TNF-α for 5 minutes whole cell lysate 20 µg

Secondary antibody: Goat Anti-rabbit IgG, (H+L), HRP conjugated at 1/10000 dilution

Predicted MW: 60 kDa

Observed MW: 65 kDa

Bioactivity

Measured in a cytotoxicity assay using L-929 mouse fibrosarcoma cells in the presence of the metabolic inhibitor actinomycin D, EC50 < 40pg/ml.

Measured in a cytotoxicity assay using L-929 mouse fibrosarcoma cells in the presence of the metabolic inhibitor actinomycin D. The EC50 for this effect is less than 10pg/ml.

SDS-PAGE

1μg(N: non-reducing condition, R: reducing condition).

ELISA

Immobilized TNF-α Protein, Human (Cat. No. UA040018) at 0.2μg/mL (100μL/well) can bind TNFR-1/CD120a Protein, Human (Cat. No. UA040030) with EC50 of 1.90-2.41ng/mL.

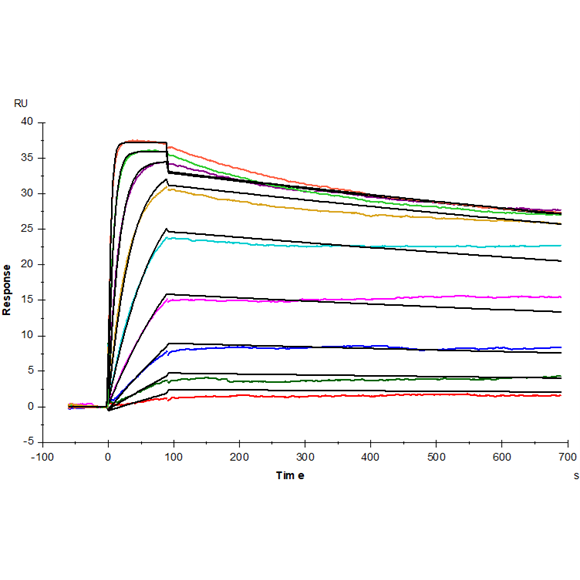
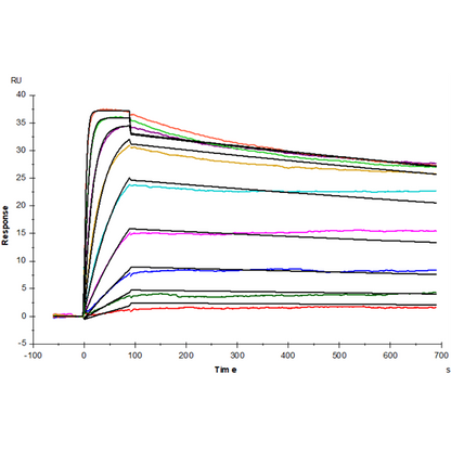
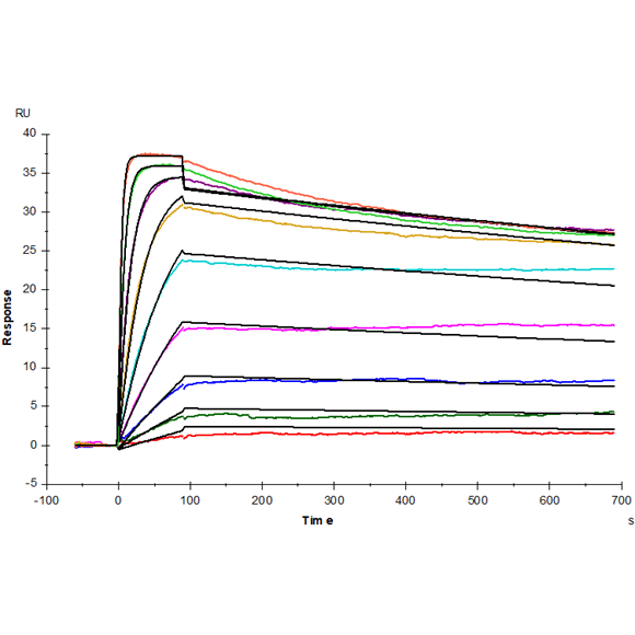
SPR

Anti-His antibody Immobilized on CM5 Chip captured TNFR-1/CD120a His Tag, Human (Cat. No. UA040028), can bind TNF-α, Human (Cat. No. UA040018) with an affinity constant of 0.23 nM as determined in SPR assay.

Anti-His antibody Immobilized on CM5 Chip captured TNFR-2/CD120b His Tag, Human (Cat. No. UA010138), can bind TNF-α, Human (Cat. No. UA040018) with an affinity constant of 0.71 nM as determined in SPR assay.