Skip to product information
1 of 8

TNF-α Protein, Human

TNF-α Protein, Human

Catalog Number: UA040005 Reactivity: Human Conjugation: Unconjugated Brand: UA BIOSCIENCE
Price:
Regular price $92 USD
Regular price Sale price $92 USD
Size:
For shipping services or bulk orders, you may request a quotation.
Secure checkout with
View full details

Product Details

Product Specification


Species Human
Synonyms TNFα;Tumor Necrosis Factor, Cachectin, TNF-Alpha, Tumor Necrosis Factor Ligand Superfamily Member 2, TNF-a, TNF, TNFA, TNFSF2
Accession P01375
Amino Acid Sequence

Val77-Leu233

Expression System CHO
Molecular Weight

17 kDa(Reducing)

Purity >95%, by SDS-PAGE under reducing conditions
Endotoxin <0.1EU/μg
Conjugation Unconjugated
Tag No Tag
Physical Appearance Lyophilized Powder
Storage Buffer

PBS, pH7.4

Reconstitution

Reconstitute at less than 1 mg/mL according to the size in ultrapure water after rapid centrifugation .

Stability & Storage

· 12 months from date of receipt, lyophilized powder stored at -20 to -80℃.

· 3 months, -20 to -80℃ under sterile conditions after reconstitution.

· 1 week, 2 to 8℃ under sterile conditions after reconstitution.

· Please avoid repeated freeze-thaw cycles.

Background

Tumor necrosis factor alpha (TNFa) is a multifunctional proinflammatory cytokine synthesized mainly by nucleated blood 
cells as a 233 aa type II transmembrane protein which is cleaved by ADAM17 between aa 76-77 to form a soluble 
homotrimeric complex. TNFa plays a role in lipid metabolism, coagulation, and endothelial function and has been 
associated with cancer, infection and inflammation (including inflammatory bowel disease), ischemia/reperfusion injury 
and heart failure, and insulin resistance.

Picture

Western Blot

Primary antibody: Phospho-NF-κB p65 (Ser536) Recombinant Rabbit mAb at 1/1000 dilution

Lane 1: HeLa treated with 100 ng/ml Calyculin A for 30 minutes, whole cell lysate 20 µg

Lane 2: HeLa treated with 100 ng/ml Calyculin A for 30 minutes and 20 ng/ml TNF-α for 5 minutes whole cell lysate 20 µg

Secondary antibody: Goat Anti-rabbit IgG, (H+L), HRP conjugated at 1/10000 dilution

Predicted MW: 60 kDa

Observed MW: 65 kDa

Bioactivity

EC50 < 0.1ng/ml, measured in a cytotoxicity assay using L-929.
Immobilized TNF-α, Human (Cat. No. UA040005) at 10μg/ml (100μl/well) can bind TNFR-1/CD120a His Tag, Human (Cat. No. UA040028) with EC50 of 0.167 μg/ml.

Measured in a cytotoxicity assay using L-929 mouse fibrosarcoma cells in the presence of the metabolic inhibitor actinomycin D, EC50 < 40pg/ml.

SDS-PAGE

TNF-α, Human,2μg on SDS-PAGE under Non-reducing and reducing condition. The purity is greater than 95%.

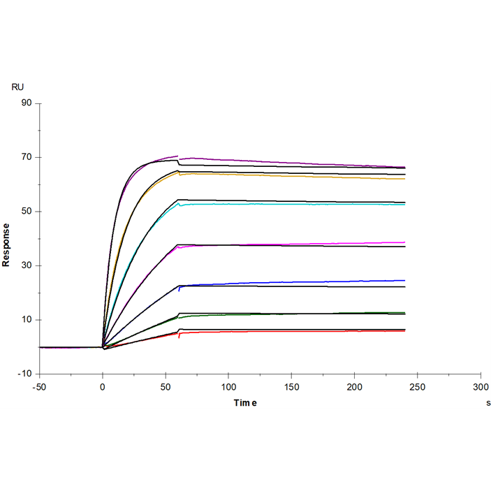
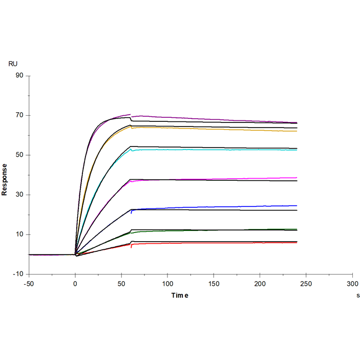
SPR

Anti-His antibody Immobilized on CM5 Chip captured TNFR-1/CD120a His Tag, Human (Cat. No. UA040028), can bind TNF-α, Human (Cat. No. UA040005) with an affinity constant of 0.106nM as determined in SPR assay.

Anti-His antibody Immobilized on CM5 Chip captured TNFR-2/CD120b His Tag, Human (Cat. No. UA010138), can bind TNF-α, Human (Cat. No. UA040005) with an affinity constant of 1.53 nM as determined in SPR assay.

Customer Reviews

Be the first to write a review
0%
(0)
0%
(0)
0%
(0)
0%
(0)
0%
(0)