Product Details
Product Details
Product Specification
| Species | Human |
| Synonyms | ACVR2B, Activin Receptor Type-2B, ACTRIIB, MGC116908 |
| Accession | Q13705 |
| Amino Acid Sequence |
Ser19-Thr134, with C-terminal Human IgG Fc SGRGEAETRECIYYNANWELERTNQSGLERCEGEQDKRLHCYASWRNSSGTIELVKKGCWLDDFNCYDRQECVATEENPQVYFCCCEGNFCNERFTHLPEAGGPEVTYEPPPTAPTIEGRMDPKSSDKTHTCPPCPAPELLGGPSVFLFPPKPKDTLMISRTPEVTCVVVDVSHEDPEVKFNWYVDGVEVHNAKTKPREEQYNSTYRVVSVLTVLHQDWLNGKEYKCKVSNKALPAPIEKTISKAKGQPREPQVYTLPPSRDELTKNQVSLTCLVKGFYPSDIAVEWESNGQPENNYKTTPPVLDSDGSFFLYSKLTVDKSRWQQGNVFSCSVMHEALHNHYTQKSLSLSPGK |
| Expression System | HEK293 |
| Molecular Weight | 56-70kDa |
| Purity | >95% by SDS-PAGE |
| Endotoxin | <0.1EU/μg |
| Conjugation | Unconjugated |
| Tag | Human Fc Tag |
| Physical Appearance | Lyophilized Powder |
| Storage Buffer | PBS, pH7.4 |
| Reconstitution | Reconstitute at 0.1-1 mg/ml according to the size in ultrapure water after rapid centrifugation. |
| Stability & Storage |
· 12 months from date of receipt, lyophilized powder stored at -20 to -80℃. · 3 months, -20 to -80℃ under sterile conditions after reconstitution. · 1 week, 2 to 8℃ under sterile conditions after reconstitution. · Please avoid repeated freeze-thaw cycles. |
| Reference |
1、Attisano L. et al. (1996) Activation of signalling by the activin receptor complex. Mol Cell Biol. 16(3): 1066-1073. 2、Woodruff T K. et al. (1998) Regulation of cellular and system function by activin. Biochem Pharmacol. 55(7): 953-963. |
Background
Activin proteins that belong to the transforming growth factor-beta (TGF-β) superfamily, exert their biological actions by binding to heteromeric receptor complexes of type I and type II serine/threonine kinase receptors. On ligand binding, type I and II receptors form a stable complex, resulting in phosphorylation of type I receptors by type II receptors with constitutive kinase activity, and subsequently initiates the activation of downstream molecules including the endogenous Smads. ActRIIB, also known as ActRIIB, is a type II receptor containing an extracellular domain (ECD), a transmembrane segment, and a cytoplasmic region that includes the kinase domain. ActRIIB is a receptor for activin A, activin B and inhibin A. Multiple ActRIIB isoforms can also be generated, which bind activin isoforms with different affinities.
Picture
Picture
SDS-PAGE

ELISA

Immobilized Activin A Protein, Human (Cat. No. UA040343) at 1.0μg/mL (100μL/well) can bind ACVR2B Fc Chimera, Human (Cat. No. UA010213) with EC50 of 9.27-13.85ng/mL.

Immobilized Activin A Protein, Human (Cat. No. UA040178) at 1.0μg/mL (100μL/well) can bind ACVR2B Fc Chimera, Human (Cat. No. UA010213) with EC50 of 6.69-11.23ng/mL.
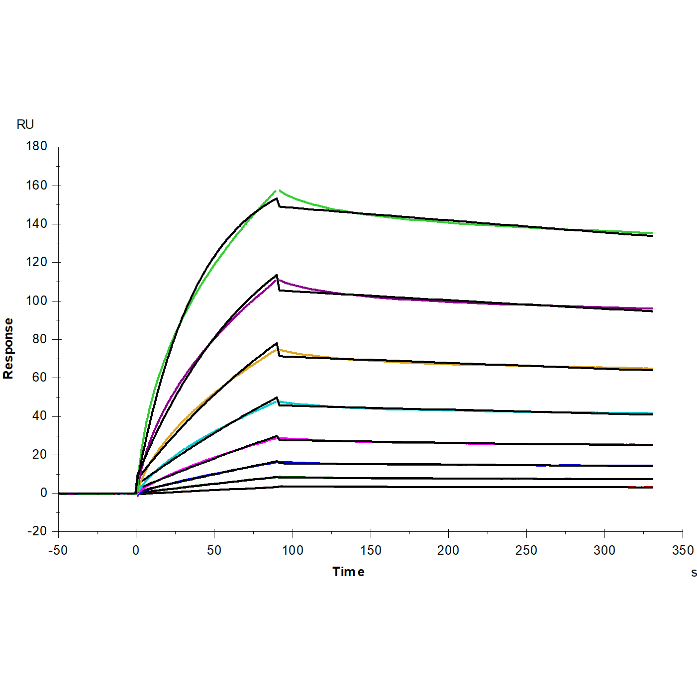
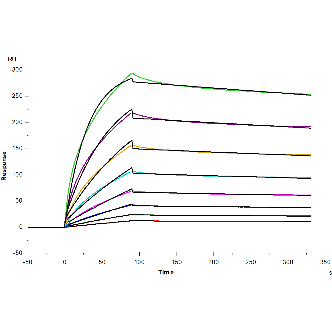
SPR

CM5 Chip captured Activin A Protein, Human/Mouse/Rat (Cat. No. UA040343), can bind ACVR2B Fc Chimera, Human (Cat. No. UA010213) with an affinity constant of 18.28nM as determined in SPR assay.

CM5 Chip captured Activin A Protein, Human (Cat. No. UA040178), can bind ACVR2B Fc Chimera, Human (Cat. No. UA010213) with an affinity constant of 12.40nM as determined in SPR assay.
