Skip to product information
1 of 1

Fas/TNFRSF6/CD95 Fc Chimera Protein, Mouse

Fas/TNFRSF6/CD95 Fc Chimera Protein, Mouse

Catalog Number: UA011036 Reactivity: Mouse Conjugation: Unconjugated Brand: UA BIOSCIENCE
Price:
Regular price $198 USD
Regular price Sale price $198 USD
Size:
For shipping services or bulk orders, you may request a quotation.
Secure checkout with
View full details

Product Details

Product Specification


Species Mouse
Synonyms ALPS1A, APO1, APT1, FAS1, FASTM, FasR
Accession P25446
Amino Acid Sequence

Gln22-Arg169 with Human IgG Fc at the C-Terminus

Expression System HEK293
Molecular Weight

47-60kDa(R)

Purity >95% by SDS-PAGE & SEC
Conjugation Unconjugated
Physical Appearance Lyophilized Powder
Storage Buffer PBS, PH7.4, 5% trehalose
Reconstitution

Reconstitute at 0.1-1 mg/ml according to the size in ultrapure water after rapid centrifugation.

Stability & Storage · 12 months from date of receipt, lyophilized powder stored at -20 to -80℃.
· 3 months, -20 to -80℃ under sterile conditions after reconstitution.
· 1 week, 2 to 8℃ under sterile conditions after reconstitution.
· Please avoid repeated freeze-thaw cycles.
Reference

Xie C, Yang S, Li Y, Zhang M, Xu Q, Wan Z, Song L, Lv Y, Luo D, Li Q, Wang Y, Chen H, Mei S. Associations of exposure to organochlorine pesticides and polychlorinated biphenyls with chronic kidney disease among adults: the modifying effects of lifestyle. Environ Sci Pollut Res Int. 2024 Jul 3.

Background

Fas, also known as the FAS receptor (FasR), apoptosis antigen 1 (APO-1 or APT), cluster of differentiation 95 (CD95), or tumor necrosis factor receptor superfamily member 6 (TNFRSF6), is a cell surface death receptor that triggers programmed cell death, or apoptosis. In mice, the FasR gene is located on chromosome 19, and orthologous sequences, which are evolutionarily related, are present in most mammals.
Recent research has indicated a dual role for Fas in cancer biology. While it is traditionally associated with the induction of apoptosis, it has also been shown to promote tumor growth. During tumorigenesis, Fas is often downregulated, or tumor cells may develop resistance to apoptosis. Regardless of their sensitivity to Fas-mediated apoptosis, cancer cells generally rely on the constitutive activity of Fas for optimal growth. This activity is often stimulated by the Fas ligand, which is produced by the cancer cells themselves.

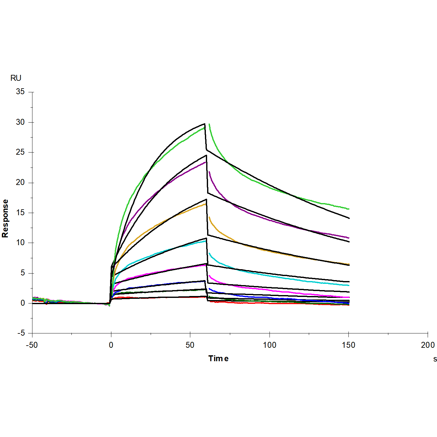
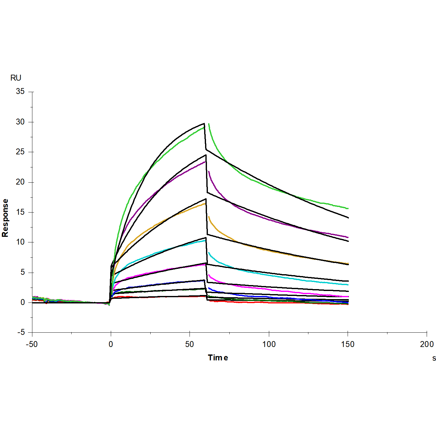
Picture

SDS-PAGE

SEC-HPLC

SPR

Protein A Chip captured Fas/TNFRSF6/CD95 Fc Chimera Protein, Mouse (Cat. No. UA011036), can bind Fas Ligand/TNFRFS6 his tag protein mouse (Cat. No. UA011012) with an affinity constant of 0.46μM as determined in SPR assay.

Customer Reviews

Be the first to write a review
0%
(0)
0%
(0)
0%
(0)
0%
(0)
0%
(0)