Product Details
Product Details
Product Specification
Species | Human |
Accession | P42081 |
Amino Acid Sequence | Leu26-Pro247, with C-terminal 8*His LKIQAYFNETADLPCQFANSQNQSLSELVVFWQDQENLVLNEVYLGKEKFDSVHSKYMGRTSFDSDSWTLRLHNLQIKDKGLYQCIIHHKKPTGMIRIHQMNSELSVLANFSQPEIVPISNITENVYINLTCSSIHGYPEPKKMSVLLRTKNSTIEYDGVMQKSQDNVTELYDVSISLSVSFPDVTSNMTIFCILETDKTRLLSSPFSIELEDPQPPPDHIPHHHHHHHH |
Expression System | HEK293 |
Molecular Weight | 40-55kDa (Reducing) |
Purity | >95% by SDS-PAGE |
Endotoxin | <0.1EU/μg |
Conjugation | Unconjugated |
Tag | His Tag |
Physical Appearance | Lyophilized Powder |
Storage Buffer | PBS, pH7.4 |
Reconstitution | Reconstitute at 0.1-1 mg/ml according to the size in ultrapure water after rapid centrifugation. |
Stability & Storage | · 12 months from date of receipt, lyophilized powder stored at -20 to -80℃. · 3 months, -20 to -80℃ under sterile conditions after reconstitution. · 1 week, 2 to 8℃ under sterile conditions after reconstitution. · Please avoid repeated freeze-thaw cycles. |
Background
CD86 encodes a type I membrane protein that is a member of the immunoglobulin superfamily. This protein is expressed by antigen-presenting cells, and it is the ligand for two proteins at the cell surface of T cells, CD28 antigen and cytotoxic T-lymphocyte-associated protein 4. Binding of this protein with CD28 antigen is a costimulatory signal for activation of the T-cell. Binding of this protein with cytotoxic T-lymphocyte-associated protein 4 negatively regulates T-cell activation and diminishes the immune response. Alternative splicing results in several transcript variants encoding different isoforms.
Picture
Picture
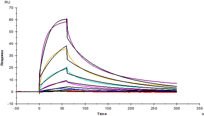
Bioactivity

Anti-His antibody Immobilized on CM5 Chip captured B7-2/CD86 His Tag, Human (Cat. No. UA010098), can bind CTLA-4 Fc Chimera, Human (Cat. No. UA010039) with an affinity constant of 49.58nM as determined in SPR assay (Biacore T200).

Immobilized B7-2/CD86 His Tag, Human (Cat. No. UA010098) at 5μg/mL (100μL/well) can bind CTLA-4 Fc Chimera, Human (Cat. No. UA010039) with EC50 of 33.50ng/mL.
SDS-PAGE

2μg (R: reducing conditions, N: non-reducing conditions).


