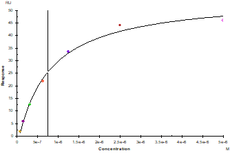
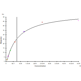
Protein A Chip captured Tie-2 Fc Chimera, Cynomolgus (Cat. No. UA010526), can bind Angiopoietin-2(275-496) His Tag, Human(Cat. No. UA010220) with an affinity constant of 0.93μM as determined in SPR assay.
Product Details
Product Details
Product Specification
Species | Human |
Synonyms | Angiopoietin-2, ANGPT2, AGPT2, ANG2 |
Accession | O15123 |
Amino Acid Sequence |
Lys275-Phe496, with N-terminal 8*His HHHHHHHHGGGSKEEQISFRDCAEVFKSGHTTNGIYTLTFPNSTEEIKAYCDMEAGGGGWTIIQRREDGSVDFQRTWKEYKVGFGNPSGEYWLGNEFVSQLTNQQRYVLKIHLKDWEGNEAYSLYEHFYLSSEELNYRIHLKGLTGTAGKISSISQPGNDFSTKDGDNDKCICKCSQMLTGGWWFDACGPSNLNGMYYPQRQNTNKFNGIKWYYWKGSGYSLKATTMMIRPADF |
Expression System | HEK293 |
Molecular Weight | 30-33kDa |
Purity | >95% by SDS-PAGE |
Endotoxin | <0.1EU/μg |
Conjugation | Unconjugated |
Tag | His Tag |
Physical Appearance | Lyophilized Powder |
Storage Buffer | PBS, pH7.4 |
Reconstitution | Reconstitute at 0.1-1 mg/ml according to the size in ultrapure water after rapid centrifugation. |
Stability & Storage | · 12 months from date of receipt, lyophilized powder stored at -20 to -80℃. · 3 months, -20 to -80℃ under sterile conditions after reconstitution. · 1 week, 2 to 8℃ under sterile conditions after reconstitution. · Please avoid repeated freeze-thaw cycles. |
Reference | 1、Hu B. et al. (2009) Angiopoietin-2: development of inhibitors for cancer therapy. Curr Oncol Rep. 11(2): 111-116. |
Background
Angiopoietin-2 (ANG 2, or ANGPT2), is a member of the ANG family, which plays an important role in angiogenesis during the development and growth of human cancers. Both ANGPT-1 and ANGPT-2 appear to bind to the tyrosine kinase receptor, Tie-2, found primarily on the luminal surface of endothelial cells. ANG-2's role in angiogenesis generally is considered as an antagonist for ANG1, inhibiting ANG1-promoted Tie2 signaling, which is critical for blood vessel maturation and stabilization. ANG-2 modulates angiogenesis in a cooperative manner with another important angiogenic factor, vascular endothelial growth factor A. Genetic studies have revealed that ANG-2 also is is also critical in lymphangiogenesis during development. ANG-2 has multiple physiologic effects that regulate vascular tone, hormone secretion, tissue growth and neural activity. Several reports indicate that ANG-2 can induce neovascularization in experimental systems due to the expression of different growth factors such as angiopoietin 2, vascular endothelial factor, and its receptor, fibroblast growth factor, platelet derived growth factor, transforming growth factor beta and epidermal growth factor. In addition, ANG-2 is strongly expressed in the vasculature of many tumors and it has been suggested that ANG-2 may act synergistically with other cytokines such as vascular endothelial growth factor to promote tumor-associated Angiogenesis and tumor progression.
Picture
Picture
Bioactivity




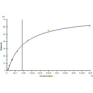
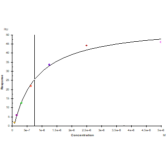
Protein A Chip captured Tie-2 Fc Chimera, Human (Cat. No. UA010628), can bind Angiopoietin-2(275-496) His Tag, Human(Cat. No. UA010220) with an affinity constant of 0.75μM as determined in SPR assay.
SDS-PAGE

ELISA

Immobilized Angiopoietin-2(275-496) His Tag, Human (Cat. No. UA010220) at 2.0μg/mL (100μL/well) can bind Tie-2 Fc Chimera, Cynomolgus (Cat. No. UA010526) with EC50 of 0.22-0.55μg/ml.

Immobilized Angiopoietin-2(275-496) His Tag, Human (Cat. No. UA010220) at 5.0μg/mL (100μL/well) can bind Tie-2 Fc Chimera, Human (Cat. No. UA010628) with EC50 of 1.00-2.09μg/ml.






