Product Details
Product Details
Product Specification
Species | Human |
Antigen | IL-7R alpha/CD127 |
Synonyms | Interleukin-7 receptor subunit alpha,Interleukin 7 Receptor Isoform H5-6,CDw127,IL-7R subunit alpha,IL-7RA,IL-7 receptor subunit alpha,CD127 Antigen,IL-7R-Alpha,Interleukin 7 Receptor Alpha Chain,CD127,IL7RA,ILRA,Interleukin-7 Receptor alpha Subunit |
Accession | P16871 |
Amino Acid Sequence |
Glu21-Asp239, with C-terminal 8*His ESGYAQNGDLEDAELDDYSFSCYSQLEVNGSQHSLTCAFEDPDVNITNLEFEICGALVEVKCLNFRKLQEIYFIETKKFLLIGKSNICVKVGEKSLTCKKIDLTTIVKPEAPFDLSVVYREGANDFVVTFNTSHLQKKYVKVLMHDVAYRQEKDENKWTHVNLSSTKLTLLQRKLQPAAMYEIKVRSIPDHYFKGFWSEWSPSYYFRTPEINNSSGEMDGGGSHHHHHHHH |
Expression System | HEK293 |
Molecular Weight | 43-50kDa (Reducing) |
Purity | >95% by SDS-PAGE |
Endotoxin | <0.1EU/μg |
Conjugation | Unconjugated |
Tag | His Tag |
Physical Appearance | Lyophilized Powder |
Storage Buffer | PBS, pH7.4 |
Reconstitution | Reconstitute at 0.1-1 mg/ml according to the size in ultrapure water after rapid centrifugation. |
Stability & Storage | · 12 months from date of receipt, lyophilized powder stored at -20 to -80℃. · 3 months, -20 to -80℃ under sterile conditions after reconstitution. · 1 week, 2 to 8℃ under sterile conditions after reconstitution. · Please avoid repeated freeze-thaw cycles. |
Reference |
1.Mazzucchelli, R. and S.K. Durum (2007) Nat. Rev.Immunol. 7:144. 2.Liu, Y.-J. et al. (2007) Annu. Rev. Immunol.25:193. 3.Noguchi, M. et al. (1993) Science 262:1877. |
Background
Interleukin 7 Receptor alpha (IL-7 R alpha ), also known as CD127, is a 75 kDa hematopoietin receptor superfamily member that plays an important role in lymphocyte differentiation, proliferation, and survival. IL-7 R alpha associates with the common gamma chain ( gamma c) to form the functional high affinity IL-7 receptor complex. The gamma c is also a subunit of the receptors for IL-2, -4, -9, -15, and -21. IL-7 R alpha is expressed on double negative (CD44-/CD8+) and CD4+ or CD8+ single positive T cells as well as on CD8+ memory T cells and their precursors. It is expressed early in B cell development, prior to the appearance of surface IgM. In mouse, IL-7 activation of IL-7 R alpha is critical for both T cell and B cell lineage development. IL-7 induces the downregulation and shedding of cell surface IL‑7 R alpha.IL-7 R alpha additionally associates with TSLP R to form the functional receptor for thymic stromal lymphopoietin.TSLP indirectly regulates T cell development by modulating dendritic cell activation.
Picture
Picture
SDS-PAGE

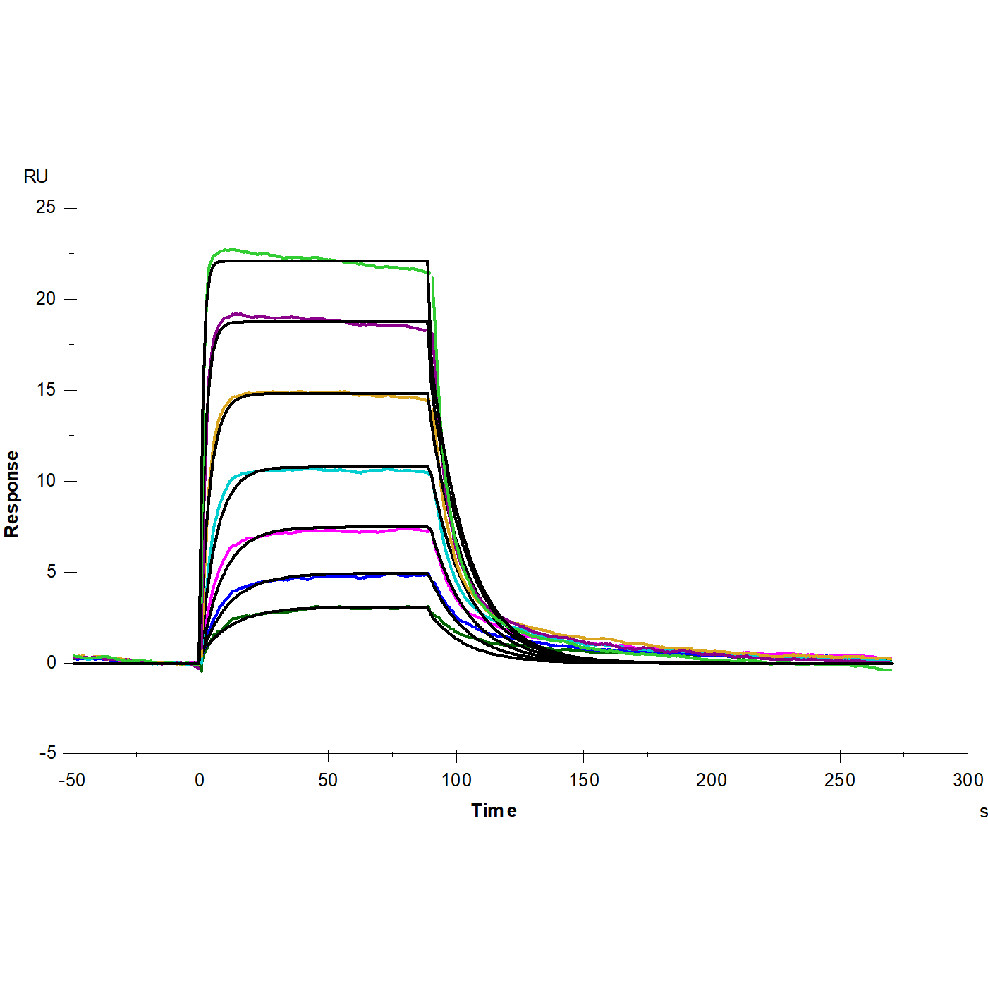
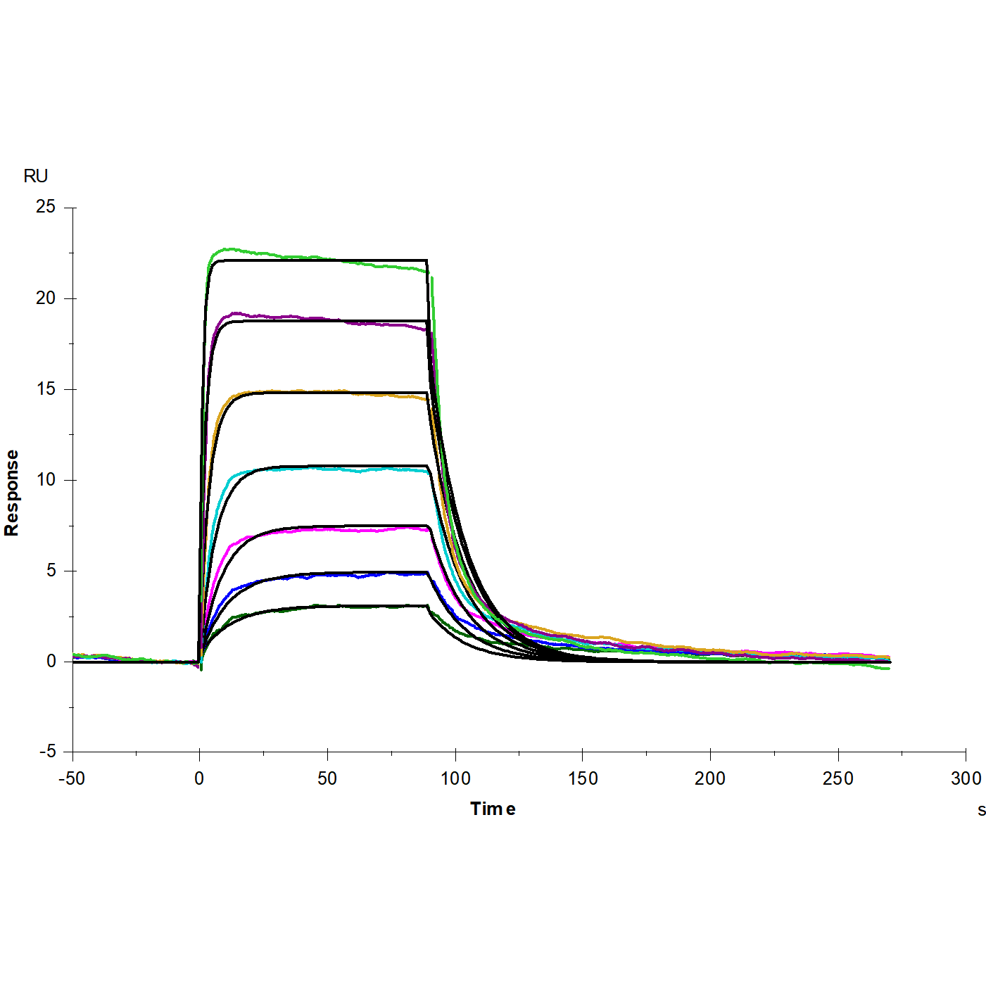
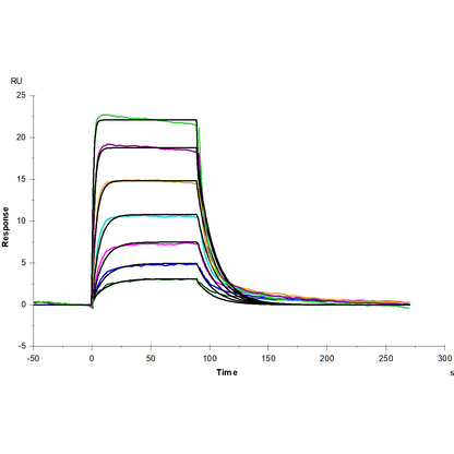
SPR

Anti-His antibody Immobilized on CM5 Chip captured IL-7R alpha/CD127 His Tag, Human (Cat. No. UA010449), can bind IL-7, Human (Cat. No. UA040234) with an affinity constant of 22.92 nM as determined in SPR assay.

