Skip to product information
1 of 2

IL-7R alpha/CD127 His Tag Protein, Human

IL-7R alpha/CD127 His Tag Protein, Human

Catalog Number: UA010449 Reactivity: Human Conjugation: Unconjugated Brand: UA BIOSCIENCE
Price:
Regular price $604 USD
Regular price Sale price $604 USD
Size:
For shipping services or bulk orders, you may request a quotation.
Secure checkout with
View full details

Product Details

Product Specification


Species Human
Antigen IL-7R alpha/CD127
Synonyms Interleukin-7 receptor subunit alpha,Interleukin 7 Receptor Isoform H5-6,CDw127,IL-7R subunit alpha,IL-7RA,IL-7 receptor subunit alpha,CD127 Antigen,IL-7R-Alpha,Interleukin 7 Receptor Alpha Chain,CD127,IL7RA,ILRA,Interleukin-7 Receptor alpha Subunit
Accession P16871
Amino Acid Sequence

Glu21-Asp239, with C-terminal 8*His

ESGYAQNGDLEDAELDDYSFSCYSQLEVNGSQHSLTCAFEDPDVNITNLEFEICGALVEVKCLNFRKLQEIYFIETKKFLLIGKSNICVKVGEKSLTCKKIDLTTIVKPEAPFDLSVVYREGANDFVVTFNTSHLQKKYVKVLMHDVAYRQEKDENKWTHVNLSSTKLTLLQRKLQPAAMYEIKVRSIPDHYFKGFWSEWSPSYYFRTPEINNSSGEMDGGGSHHHHHHHH

Expression System HEK293
Molecular Weight

43-50kDa (Reducing)

Purity >95% by SDS-PAGE
Endotoxin <0.1EU/μg
Conjugation Unconjugated
Tag His Tag
Physical Appearance Lyophilized Powder
Storage Buffer PBS, pH7.4
Reconstitution Reconstitute at 0.1-1 mg/ml according to the size in ultrapure water after rapid centrifugation.
Stability & Storage · 12 months from date of receipt, lyophilized powder stored at -20 to -80℃.
· 3 months, -20 to -80℃ under sterile conditions after reconstitution.
· 1 week, 2 to 8℃ under sterile conditions after reconstitution.
· Please avoid repeated freeze-thaw cycles.
Reference

1.Mazzucchelli, R. and S.K. Durum (2007) Nat. Rev.Immunol. 7:144.

2.Liu, Y.-J. et al. (2007) Annu. Rev. Immunol.25:193.

3.Noguchi, M. et al. (1993) Science 262:1877.


Background

Interleukin 7 Receptor alpha (IL-7 R alpha ), also known as CD127, is a 75 kDa hematopoietin receptor superfamily member that plays an important role in lymphocyte differentiation, proliferation, and survival. IL-7 R alpha associates with the common gamma chain ( gamma c) to form the functional high affinity IL-7 receptor complex. The gamma c is also a subunit of the receptors for IL-2, -4, -9, -15, and -21. IL-7 R alpha is expressed on double negative (CD44-/CD8+) and CD4+ or CD8+ single positive T cells as well as on CD8+ memory T cells and their precursors. It is expressed early in B cell development, prior to the appearance of surface IgM. In mouse, IL-7 activation of IL-7 R alpha is critical for both T cell and B cell lineage development. IL-7 induces the downregulation and shedding of cell surface IL‑7 R alpha.IL-7 R alpha additionally associates with TSLP R to form the functional receptor for thymic stromal lymphopoietin.TSLP indirectly regulates T cell development by modulating dendritic cell activation.

Picture

SDS-PAGE

1μg (R: reducing conditions, N: non-reducing conditions).

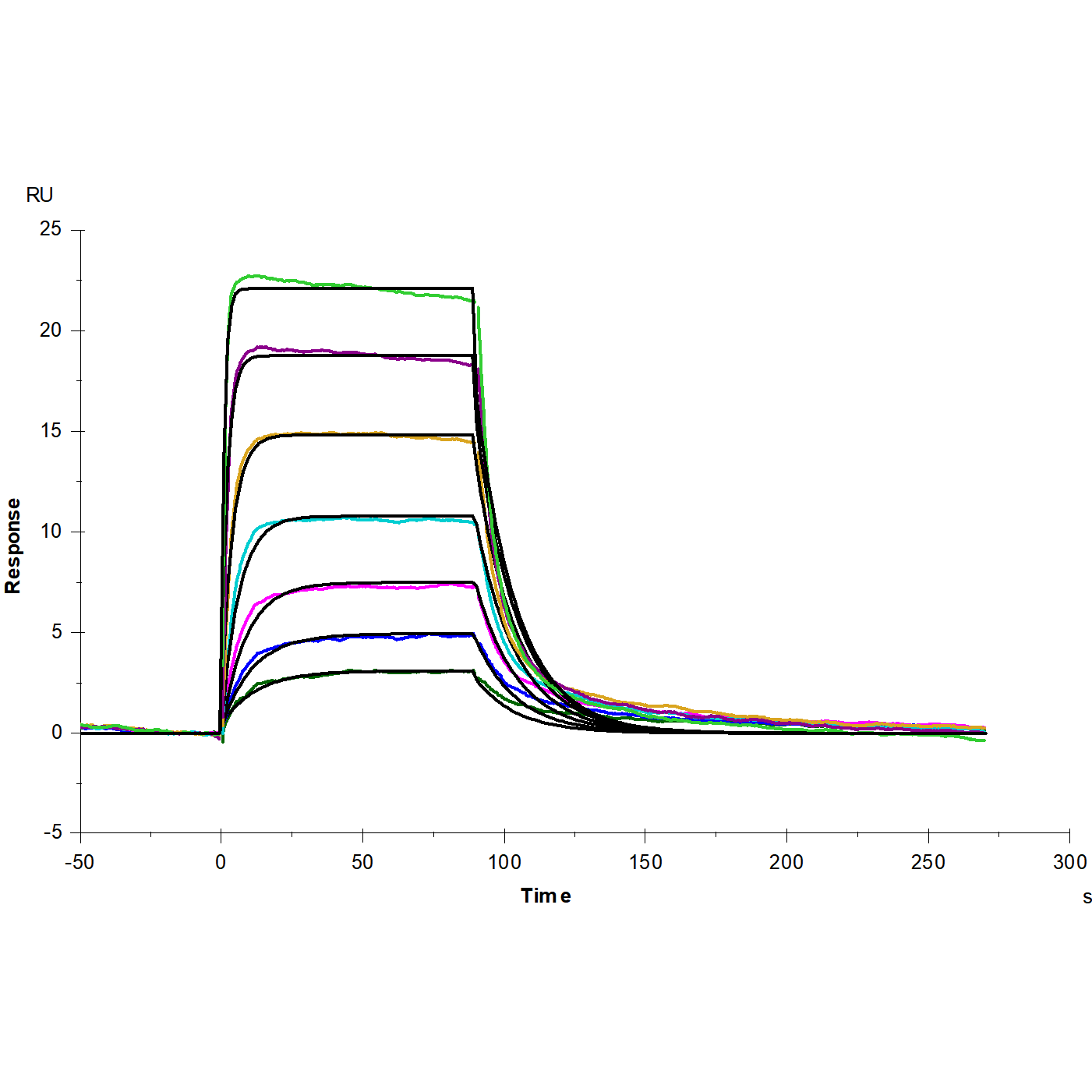
SPR

Anti-His antibody Immobilized on CM5 Chip captured IL-7R alpha/CD127 His Tag, Human (Cat. No. UA010449), can bind IL-7, Human (Cat. No. UA040234) with an affinity constant of 22.92 nM as determined in SPR assay.

Customer Reviews

Be the first to write a review
0%
(0)
0%
(0)
0%
(0)
0%
(0)
0%
(0)