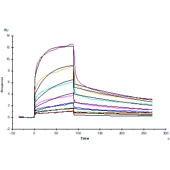
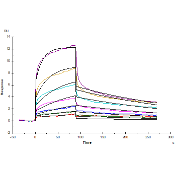
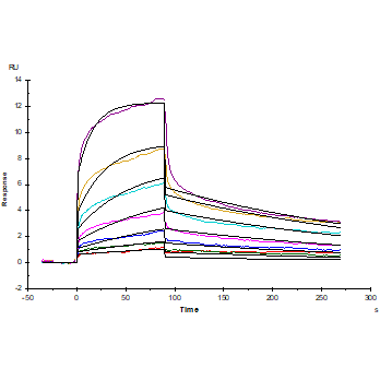
Protein A Chip captured CD7 Ligand/SECTM1 Fc Chimera, Human (Cat. No. UA010409), can bind CD7 His Tag, Mouse (Cat. No. UA010338) with an affinity constant of 61.54nM as determined in SPR assay .
Product Details
Product Details
Product Specification
Species | Mouse |
Antigen | CD7 |
Synonyms | CD7, GP40, TP41, LEU-9, Tp40 |
Accession | P50283 |
Amino Acid Sequence | Gln24-Pro150, with C-terminal 8*His QDVHQSPRLTIASEGDSVNITCSTRGHLEGILMKKIWPQAYNVIYFEDRQEPTVDRTFSGRINFSGSQKNLTITISSLQLADTGDYTCEAVRKVSARGLFTTVVVKEKSSQEAYRSQEPLQTSFSFPGGGSHHHHHHHH |
Expression System | HEK293 |
Molecular Weight | 20-25kDa |
Purity | >95% by SDS-PAGE |
Endotoxin | <0.1EU/μg |
Conjugation | Unconjugated |
Tag | His Tag |
Physical Appearance | Lyophilized Powder |
Storage Buffer | PBS, pH7.4 |
Reconstitution | Reconstitute at 0.1-1 mg/ml according to the size in ultrapure water after rapid centrifugation. |
Stability & Storage | · 12 months from date of receipt, lyophilized powder stored at -20 to -80℃. · 3 months, -20 to -80℃ under sterile conditions after reconstitution. · 1 week, 2 to 8℃ under sterile conditions after reconstitution. · Please avoid repeated freeze-thaw cycles. |
Reference | 1、Sempowski G D. et al. (1999) Resistance of CD7-deficient mice to lipopolysaccharide-induced shock syndromes. J Exp Med. 189(6): 1011-1016. |
Background
CD7 is a 40-kD member of the Ig gene superfamily that is expressed on a major subset of human peripheral T lymphocytes and NK cells. CD7 is an early T cell activation antigen in that CD7 mRNA levels rise within 15 min after initiation of a transmembrane calcium ion flux. CD7 can complex with CD3 and CD45 molecules, and CD7 signaling involves both protein kinase C and protein tyrosine kinase. CD7 has been shown to be a functional signal-transducing molecule on resting NK cells. Antibody cross-linking of NK cell CD7 induced increases in free cytoplasmic calcium, secretion of IFN-γ, NK cell proliferation, adhesion to fibronectin, and NK cytotoxic activity. Although the above studies have demonstrated in vitro roles for CD7 in T and NK cell activation and/or adhesion, relevant functions of CD7 in vivo remain unknown.
Picture
Picture
Bioactivity

SDS-PAGE


