Skip to product information
1 of 2

CD7 His Tag Protein, Mouse

CD7 His Tag Protein, Mouse

Catalog Number: UA010338 Reactivity: Mouse Conjugation: Unconjugated Brand: UA BIOSCIENCE
Price:
Regular price $500 USD
Regular price Sale price $500 USD
Size:
For shipping services or bulk orders, you may request a quotation.
Secure checkout with
View full details

Product Details

Product Specification


Species Mouse
Antigen CD7
Synonyms CD7, GP40, TP41, LEU-9, Tp40
Accession P50283
Amino Acid Sequence

Gln24-Pro150, with C-terminal 8*His QDVHQSPRLTIASEGDSVNITCSTRGHLEGILMKKIWPQAYNVIYFEDRQEPTVDRTFSGRINFSGSQKNLTITISSLQLADTGDYTCEAVRKVSARGLFTTVVVKEKSSQEAYRSQEPLQTSFSFPGGGSHHHHHHHH

Expression System HEK293
Molecular Weight 20-25kDa
Purity >95% by SDS-PAGE
Endotoxin <0.1EU/μg
Conjugation Unconjugated
Tag His Tag
Physical Appearance Lyophilized Powder
Storage Buffer PBS, pH7.4
Reconstitution Reconstitute at 0.1-1 mg/ml according to the size in ultrapure water after rapid centrifugation.
Stability & Storage · 12 months from date of receipt, lyophilized powder stored at -20 to -80℃.
· 3 months, -20 to -80℃ under sterile conditions after reconstitution.
· 1 week, 2 to 8℃ under sterile conditions after reconstitution.
· Please avoid repeated freeze-thaw cycles.
Reference

1、Sempowski G D. et al. (1999) Resistance of CD7-deficient mice to lipopolysaccharide-induced shock syndromes. J Exp Med. 189(6): 1011-1016.

Background

CD7 is a 40-kD member of the Ig gene superfamily that is expressed on a major subset of human peripheral T lymphocytes and NK cells. CD7 is an early T cell activation antigen in that CD7 mRNA levels rise within 15 min after initiation of a transmembrane calcium ion flux. CD7 can complex with CD3 and CD45 molecules, and CD7 signaling involves both protein kinase C and protein tyrosine kinase. CD7 has been shown to be a functional signal-transducing molecule on resting NK cells. Antibody cross-linking of NK cell CD7 induced increases in free cytoplasmic calcium, secretion of IFN-γ, NK cell proliferation, adhesion to fibronectin, and NK cytotoxic activity. Although the above studies have demonstrated in vitro roles for CD7 in T and NK cell activation and/or adhesion, relevant functions of CD7 in vivo remain unknown.

Picture

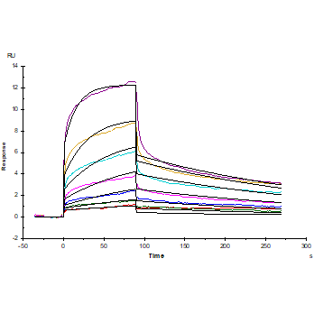
Bioactivity

Protein A Chip captured CD7 Ligand/SECTM1 Fc Chimera, Human (Cat. No. UA010409), can bind CD7 His Tag, Mouse (Cat. No. UA010338) with an affinity constant of 61.54nM as determined in SPR assay .

SDS-PAGE

1μg (R: reducing conditions, N: non-reducing conditions).

Customer Reviews

Be the first to write a review
0%
(0)
0%
(0)
0%
(0)
0%
(0)
0%
(0)