Skip to product information
1 of 1

TNFR-2/CD120b His Tag Protein, Cynomolgus

TNFR-2/CD120b His Tag Protein, Cynomolgus

Catalog Number: UA010721 Reactivity: Cynomolgus Conjugation: Unconjugated Brand: UA BIOSCIENCE
Price:
Regular price $724 USD
Regular price Sale price $724 USD
Size:
For shipping services or bulk orders, you may request a quotation.
Secure checkout with
View full details

Product Details

Product Specification


Species Cynomolgus
Synonyms TNFRSF1B, TBPII, TNF-R-II, TNF-R75, TNFBR, TNFR1B, TNFR80
Accession XP_005544817.1
Amino Acid Sequence Leu23-Asp257, with C-8*His
Expression System HEK293
Molecular Weight

35-45kDa (Reducing)

Purity >95% by SDS-PAGE
Endotoxin <0.1EU/μg
Conjugation Unconjugated
Tag His Tag
Physical Appearance Lyophilized Powder
Storage Buffer PBS, pH7.4.
Reconstitution

Reconstitute at 0.1-1 mg/ml according to the size in ultrapure water after rapid centrifugation.

Stability & Storage · 12 months from date of receipt, lyophilized powder stored at -20 to -80℃.
· 3 months, -20 to -80℃ under sterile conditions after reconstitution.
· 1 week, 2 to 8℃ under sterile conditions after reconstitution.
· Please avoid repeated freeze-thaw cycles.
Reference

Jingchao Bai , Hui Li. Targeting TNFR2 in Cancer: All Roads Lead to Rome. Front Immunol. 2022 Feb 17:13:844931. eCollection 2022.

Background

TNF receptor 2 (TNFR2) has become one of the best potential immune checkpoints that might be targeted, mainly because of its vital role in tumor microenvironments (TMEs). Overexpression of TNFR2 in some tumor cells and essential function in immunosuppressive cells, especially regulatory T cells (Tregs), makes blocking TNFR2 an excellent strategy in cancer treatment; however, there is evidence showing that activating TNFR2 can also inhibit tumor progression in vivo.

Picture

SDS-PAGE

2μg (R: reducing condition, N: non-reducing condition).

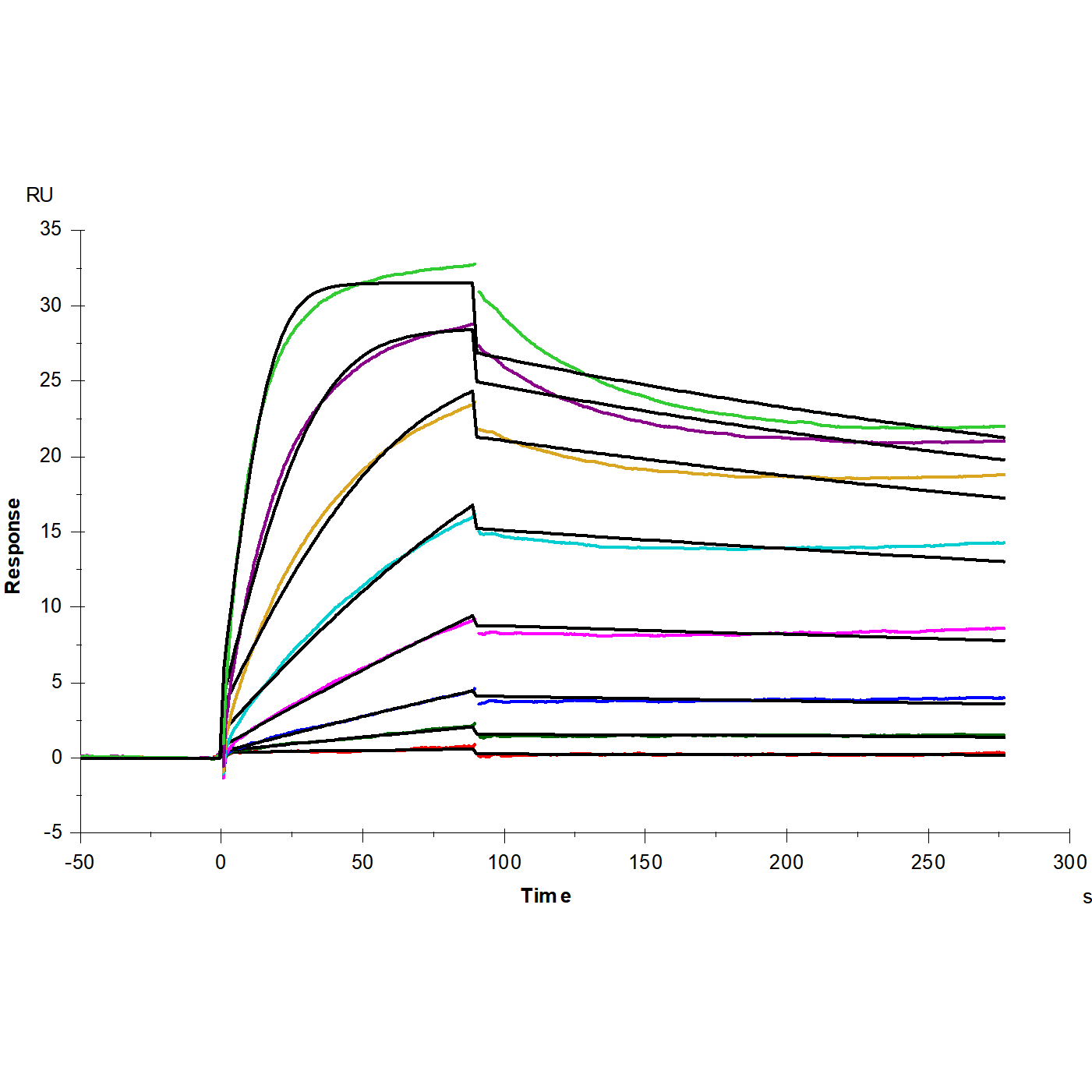
SPR

Anti-His antibody Immobilized on CM5 Chip captured TNFR-2/CD120b His Tag, Cynomolgus (Cat. No. UA010721), can bind TNF-α, Human (Cat. No. UA040005) with an affinity constant of 0.46 nM as determined in SPR assay.

Customer Reviews

Be the first to write a review
0%
(0)
0%
(0)
0%
(0)
0%
(0)
0%
(0)