2μg (R: reducing condition, N: non-reducing condition).
Product Details
Product Details
Product Specification
Species | Cynomolgus |
Synonyms | TNFRSF1B, TBPII, TNF-R-II, TNF-R75, TNFBR, TNFR1B, TNFR80 |
Accession | XP_005544817.1 |
Amino Acid Sequence | Leu23-Asp257, with C-8*His |
Expression System | HEK293 |
Molecular Weight | 35-45kDa (Reducing) |
Purity | >95% by SDS-PAGE |
Endotoxin | <0.1EU/μg |
Conjugation | Unconjugated |
Tag | His Tag |
Physical Appearance | Lyophilized Powder |
Storage Buffer | PBS, pH7.4. |
Reconstitution | Reconstitute at 0.1-1 mg/ml according to the size in ultrapure water after rapid centrifugation. |
Stability & Storage | · 12 months from date of receipt, lyophilized powder stored at -20 to -80℃. · 3 months, -20 to -80℃ under sterile conditions after reconstitution. · 1 week, 2 to 8℃ under sterile conditions after reconstitution. · Please avoid repeated freeze-thaw cycles. |
Reference | Jingchao Bai , Hui Li. Targeting TNFR2 in Cancer: All Roads Lead to Rome. Front Immunol. 2022 Feb 17:13:844931. eCollection 2022. |
Background
TNF receptor 2 (TNFR2) has become one of the best potential immune checkpoints that might be targeted, mainly because of its vital role in tumor microenvironments (TMEs). Overexpression of TNFR2 in some tumor cells and essential function in immunosuppressive cells, especially regulatory T cells (Tregs), makes blocking TNFR2 an excellent strategy in cancer treatment; however, there is evidence showing that activating TNFR2 can also inhibit tumor progression in vivo.
Picture
Picture
SDS-PAGE
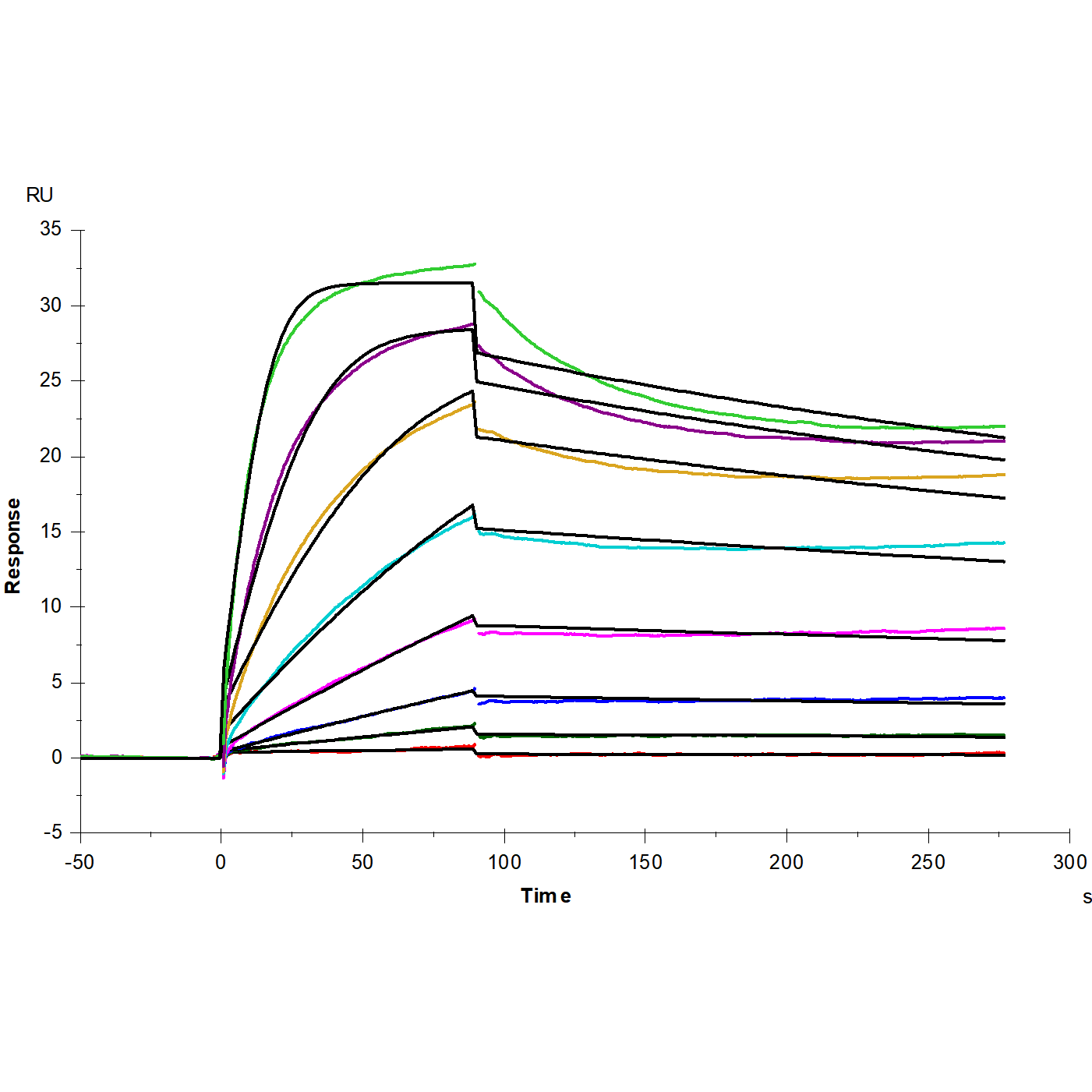
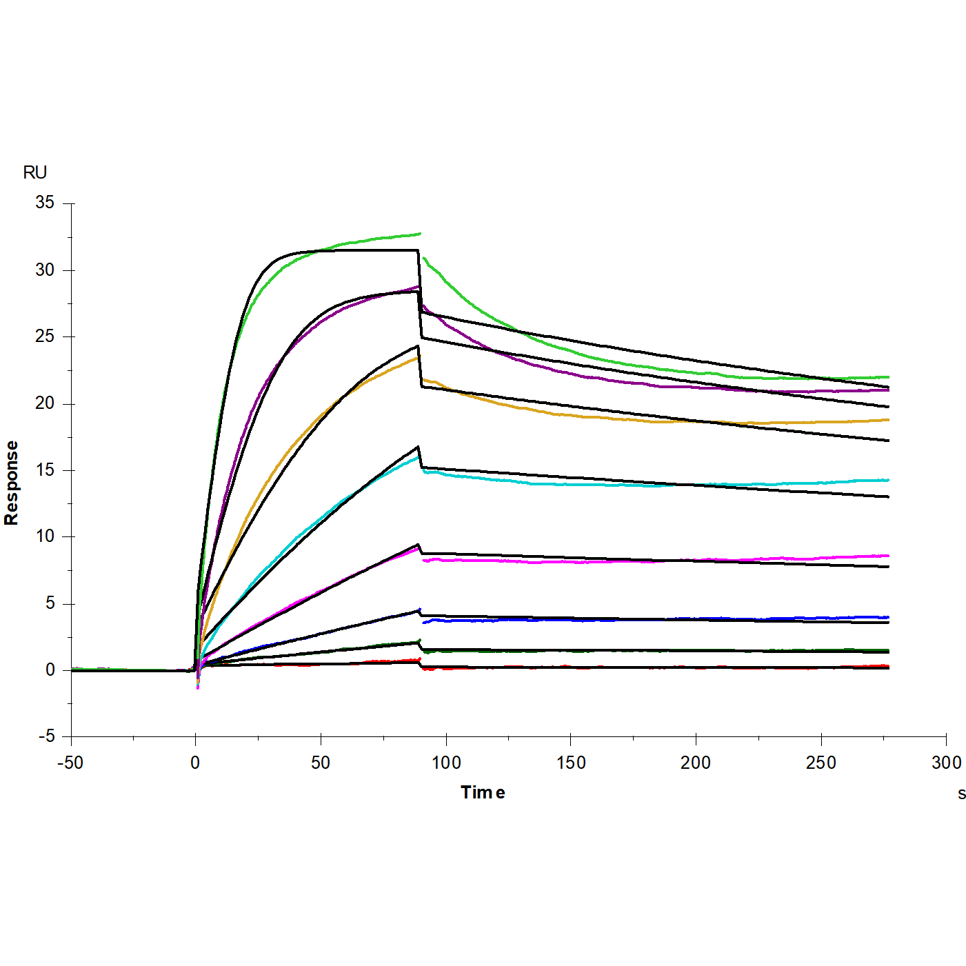
SPR

Anti-His antibody Immobilized on CM5 Chip captured TNFR-2/CD120b His Tag, Cynomolgus (Cat. No. UA010721), can bind TNF-α, Human (Cat. No. UA040005) with an affinity constant of 0.46 nM as determined in SPR assay.
