Product Details
Product Details
Product Specification
Species | Human |
Antigen | ACVR2A |
Synonyms | ACVR2A, Activin receptor type IIA, ACTRIIA |
Accession | P27037 |
Amino Acid Sequence |
Ala20-Pro134, with C-terminal 8*His AILGRSETQECLFFNANWEKDRTNQTGVEPCYGDKDKRRHCFATWKNISGSIEIVKQGCWLDDINCYDRTDCVEKKDSPEVYFCCCEGNMCNEKFSYFPEMEVTQPTSNPVTPKPGGGSHHHHHHHH |
Expression System | HEK293 |
Molecular Weight | 25-33kDa |
Purity | >95% by SDS-PAGE |
Endotoxin | <0.1EU/μg |
Conjugation | Unconjugated |
Tag | His Tag |
Physical Appearance | Lyophilized Powder |
Storage Buffer | PBS, pH7.4 |
Reconstitution | Reconstitute at 0.1-1 mg/ml according to the size in ultrapure water after rapid centrifugation. |
Stability & Storage |
· 12 months from date of receipt, lyophilized powder stored at -20 to -80℃. · 3 months, -20 to -80℃ under sterile conditions after reconstitution. · 1 week, 2 to 8℃ under sterile conditions after reconstitution. · Please avoid repeated freeze-thaw cycles. |
Reference | 1、Zhou C. et al. (2018) Downregulation of Activin A Receptor Type 2A Is Associated with Metastatic Potential and Poor Prognosis of Colon Cancer. J Cancer. 9(19): 3626-3633. |
Background
ACVR2A (activin A receptor type 2A) belongs to a receptor family that mediates the functions of activins, members of the transforming growth factor-beta (TGF-β) family of ligands with multiple biological functions. The TGF-β signaling pathway is involved in the regulation of cell proliferation, differentiation, migration, and apoptosis of colon cancer. The mutation rate of ACVR2A is approximately 60%, making it the most frequently mutated gene in hypermutated colon cancer. However, the expression profiles of ACVR2A and its biological function in colon cancer tumorigenesis and progression are largely unknown.
Picture
Picture
SDS-PAGE

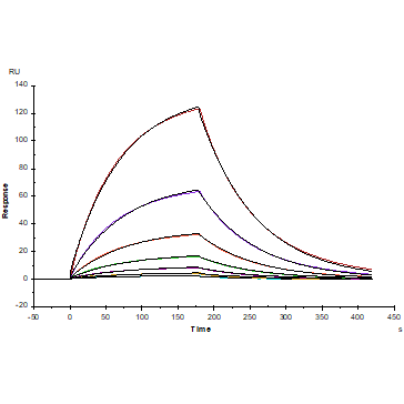
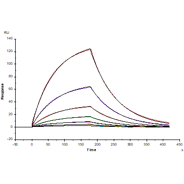
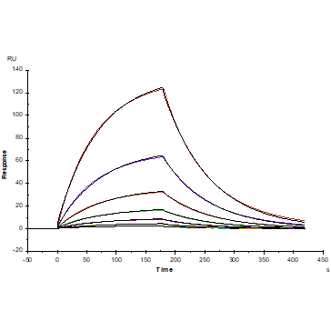
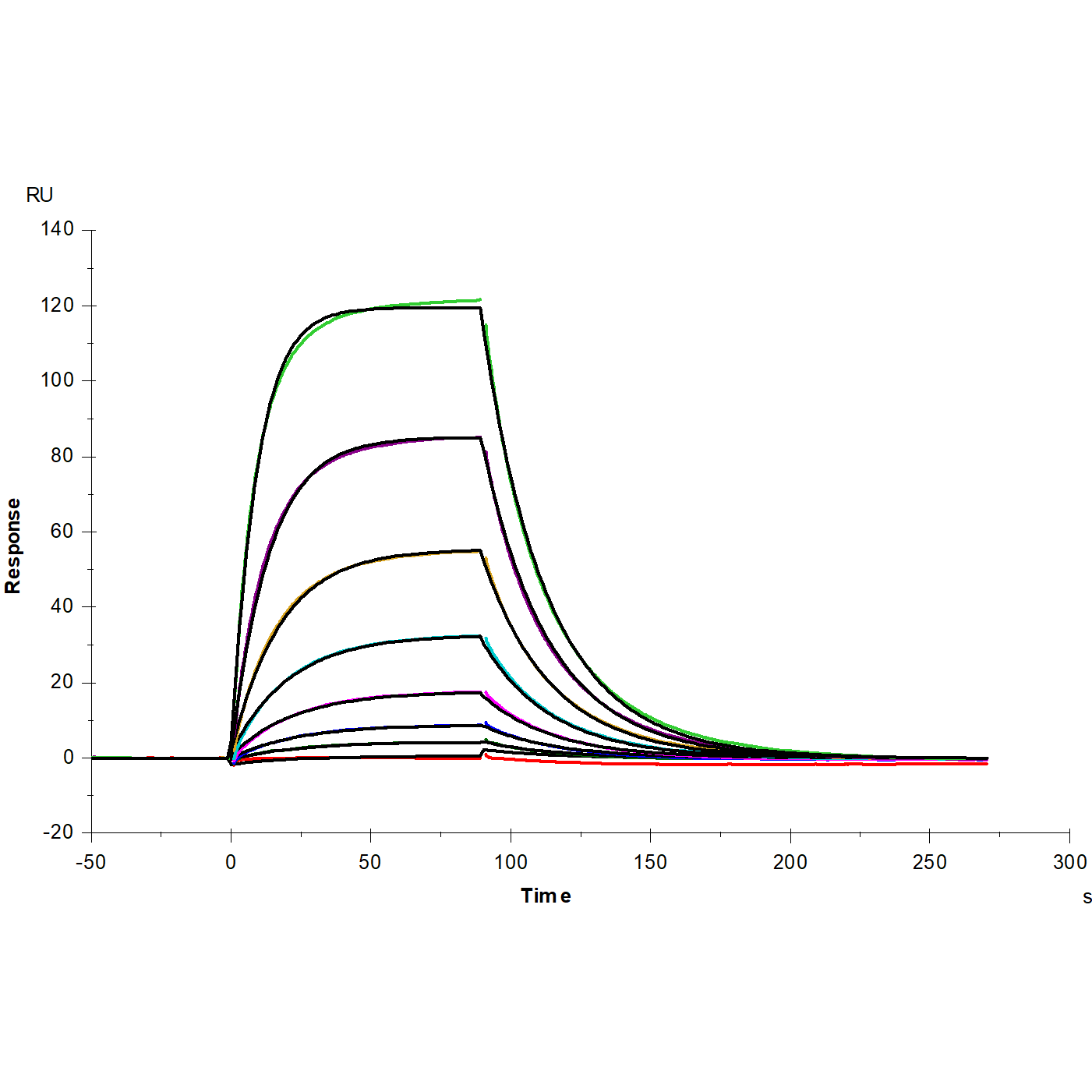
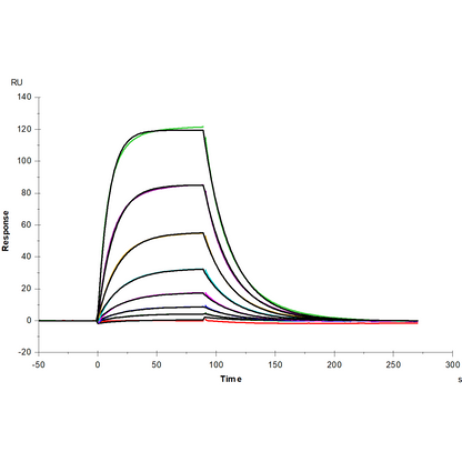
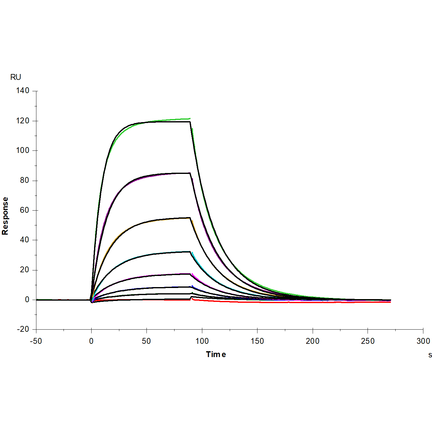
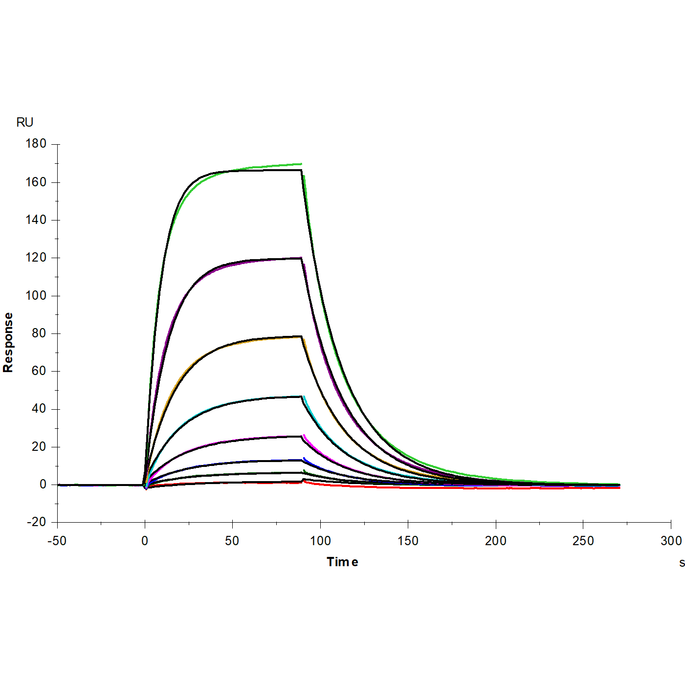
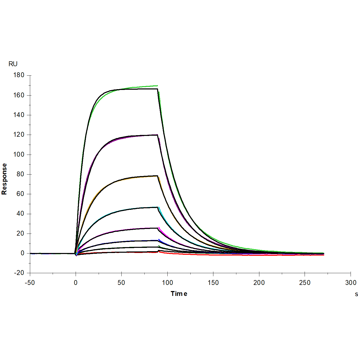
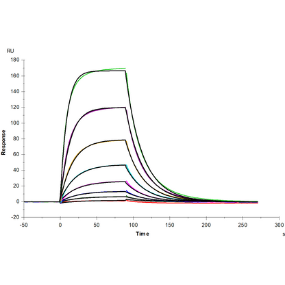
SPR

CM5 Chip captured Recombinant Human/Mouse/Rat Activin A, can bind ACVR2A His Tag, Human (Cat. No. UA010214) with an affinity constant of 39.44nM as determined in SPR assay.

CM5 Chip captured Activin A Protein, Human/Mouse/Rat (Cat. No. UA040343), can bind ACVR2A His Tag, Human (Cat. No. UA010214) with an affinity constant of 78.47nM as determined in SPR assay.

CM5 Chip captured Activin A Protein, Human (Cat. No. UA040178), can bind ACVR2A His Tag, Human (Cat. No. UA010214) with an affinity constant of 72.95nM as determined in SPR assay.



