Product Details
Product Details
Product Specification
Species | Mouse |
Synonyms | FGL2, T49, pT49 |
Accession | P12804 |
Amino Acid Sequence | Pro197-Pro432, with C-terminal 8*His PVQHLIYKDCSDHYVLGRRSSGAYRVTPDHRNSSFEVYCDMETMGGGWTVLQARLDGSTNFTREWKDYKAGFGNLEREFWLGNDKIHLLTKSKEMILRIDLEDFNGLTLYALYDQFYVANEFLKYRLHIGNYNGTAGDALRFSRHYNHDLRFFTTPDRDNDRYPSGNCGLYYSSGWWFDSCLSANLNGKYYHQKYKGVRNGIFWGTWPGINQAQPGGYKSSFKQAKMMIRPKNFKPGGGSHHHHHHHH |
Expression System | HEK293 |
Molecular Weight | 38-43kDa |
Purity | >95% by SDS-PAGE |
Endotoxin | <0.1EU/μg |
Conjugation | Unconjugated |
Tag | His Tag |
Physical Appearance | Lyophilized Powder |
Storage Buffer | PBS, pH7.4 |
Reconstitution | Reconstitute at 0.1-1 mg/ml according to the size in ultrapure water after rapid centrifugation. |
Stability & Storage | · 12 months from date of receipt, lyophilized powder stored at -20 to -80℃. · 3 months, -20 to -80℃ under sterile conditions after reconstitution. · 1 week, 2 to 8℃ under sterile conditions after reconstitution. · Please avoid repeated freeze-thaw cycles. |
Reference |
1、Feng Y. et al. (2020) Fibrinogen-Like Protein 2 (FGL2) is a Novel Biomarker for Clinical Prediction of Human Breast Cancer. Med Sci Monit. 26: e923531. 2、Hou X X. et al. (2021) Regulatory T cells induce polarization of pro-repair macrophages by secreting sFGL2 into the endometriotic milieu. Commun Biol. 4(1): 499. |
Background
Fibrinogen-like protein 2 (FGL2) is a member of the fibrinogen-like protein family and possesses important regulatory functions in both innate and adaptive immune responses. Fibrinogen-like protein 2 (FGL2) exists in both soluble and membrane forms. Soluble fibrinogen-like protein 2 (sFGL2) has been recently identified as a novel effector molecule of Tregs and plays a pivotal role in regulating both innate and adaptive immunity. FGL2 mediates its immunosuppressive activity by binding to inhibitory FcγRIIB (CD32B) receptors expressed by antigen presenting cells (APC), including dendritic cells (DC) and B cells, and thus sFGL2 may inhibit the maturation of DC, resulting in the suppression of effector T cell responses and inducing apoptosis of B cells. However, nothing is known about sFGL2 and its potential roles in endometriosis.
Picture
Picture
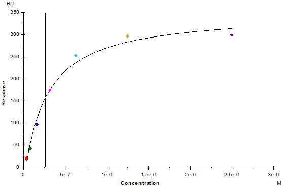
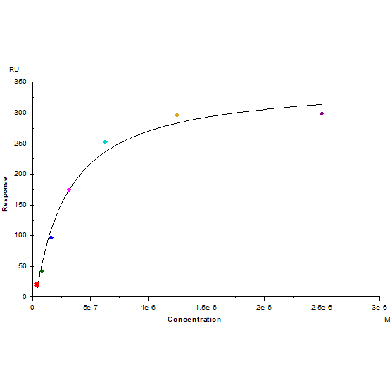
Bioactivity

Fc γ RIIB/CD32b His Tag, Mouse (Cat. No. UA020015) Immobilized on CM5 Chip can bind FGL2 His Tag, Mouse (Cat. No. UA010355) with an affinity constant of 0.26 μM as determined in SPR assay.
SDS-PAGE

1μg (R: reducing conditions, N: non-reducing conditions).

