Product Details
Product Details
Product Specification
Species | Mouse |
Synonyms | FcRn, FCGRT & B2M |
Accession | Q61559 |
Amino Acid Sequence | FCGRT Chain:Ser22-Ser297, with C-terminal 8*His SETRPPLMYHLTAVSNPSTGLPSFWATGWLGPQQYLTYNSLRQEADPCGAWMWENQVSWYWEKETTDLKSKEQLFLEALKTLEKILNGTYTLQGLLGCELASDNSSVPTAVFALNGEEFMKFNPRIGNWTGEWPETEIVANLWMKQPDAARKESEFLLNSCPERLLGHLERGRRNLEWKEPPSMRLKARPGNSGSSVLTCAAFSFYPPELKFRFLRNGLASGSGNCSTGPNGDGSFHAWSLLEVKRGDEHHYQCQVEHEGLAQPLTVDLDSSARSSGGGSHHHHHHHH B2M Chain: Ile21-Met119 IQKTPQIQVYSRHPPENGKPNILNCYVTQFHPPHIEIQMLKNGKKIPKVEMSDMSFSKDWSFYILAHTEFTPTETDTYACRVKHASMAEPKTVYWDRDM |
Expression System | HEK293 |
Molecular Weight | 43-50 & 12kDa |
Purity | >95% by SDS-PAGE |
Endotoxin | <0.1EU/μg |
Conjugation | Unconjugated |
Tag | His Tag |
Physical Appearance | Lyophilized Powder |
Storage Buffer | PBS, pH7.4 |
Reconstitution | Reconstitute at 0.1-1 mg/ml according to the size in ultrapure water after rapid centrifugation. |
Stability & Storage | · 12 months from date of receipt, lyophilized powder stored at -20 to -80℃. · 3 months, -20 to -80℃ under sterile conditions after reconstitution. · 1 week, 2 to 8℃ under sterile conditions after reconstitution. · Please avoid repeated freeze-thaw cycles. |
Reference | 1、Roopenian D. et al. (2007) FcRn: the neonatal Fc receptor comes of age. Nat Rev Immunol. 7: 715-725. |
Background
FcRn is an unusual Fc receptor, the biological importance of which is only beginning to be fully appreciated. In addition to its critical role in the transfer of maternal IgG to the fetus or neonate, FcRn is the homeostatic receptor responsible for extending the serum half-life of IgG in adults. The exact site(s) of IgG protection from degradation has not been delineated in vivo, but both endothelial cells and bone-marrow-derived cells can extend the serum persistence of IgG. FcRn is also expressed in many other tissues in the adult animal, including barrier sites such as the blood–brain interface, the glomerular filter in the kidneys and the intestinal epithelium. FcRn expression at these sites merits further study with the goals of modulating specific IgG transport to promote host defence or to control immune-complex deposition.
Picture
Picture
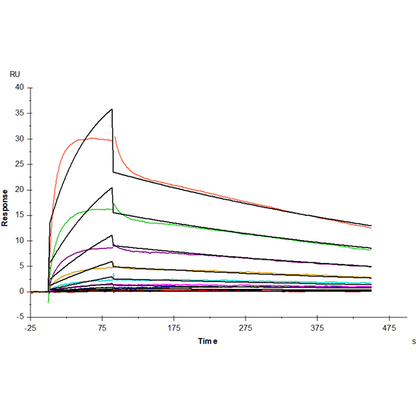
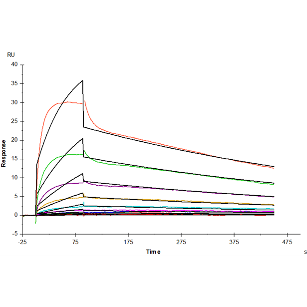
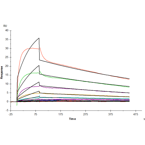
Bioactivity

SDS-PAGE


