Product Details
Product Details
Product Specification
Species | Rhesus macaque |
Synonyms | CD16, FcγRIIIa |
Accession | A3RFZ7-1 |
Amino Acid Sequence |
Glu21 -Gly206, with C-terminal 8*His Tag EDLPKAVVFLEPQWYRVLEKDSVTLKCQGAYSPEDNSTRWFHNESLISSQTSSYFIAAARVNNSGEYRCQTSLSTLSDPVQLEVHIGWLLLQAPRWVFKEEESIHLRCHSWKNTLLHKVTYLQNGKGRKYFHQNSDFYIPKATLKDSGSYFCRGLIGSKNVSSETVNITITQDLAVSSISSFFPPGGGGSGGGSHHHHHHHH |
Expression System | HEK293 |
Molecular Weight | 33-43kDa (Reducing) |
Purity | >95% by SDS-PAGE & RP-HPLC |
Endotoxin | <0.1EU/μg |
Conjugation | Unconjugated |
Tag | His Tag |
Physical Appearance | Lyophilized Powder |
Storage Buffer | PBS, pH7.4 |
Reconstitution | Reconstitute at 0.1-1 mg/ml according to the size in ultrapure water after rapid centrifugation. |
Stability & Storage | · 12 months from date of receipt, lyophilized powder stored at -20 to -80℃. · 3 months, -20 to -80℃ under sterile conditions after reconstitution. · 1 week, 2 to 8℃ under sterile conditions after reconstitution. · Please avoid repeated freeze-thaw cycles. |
Background
CD16 (FcγRIIIa) is a type I transmembrane receptor containing two extracellular Ig-like domains. CD16 is a low affinity IgG receptor mediating antibody-dependent cellular cytotoxicity (ADCC) by NK cells and was also demonstrated to directly recognize unknown tumor ligand. CD16 signals via association with the adaptor molecules CD3z and FcεRγ that contain the activation ITAM motif. The Fc receptor CD16 is the only receptor that can activate resting NK cells when stimulated in isolation. Recently CD16 was reported to be the most potent activating receptor on freshly isolated human NK cells, able to elicit strong cytotoxicity and cytokine production.CD16 is involved in antibody-dependent cell-mediated cytotoxicity and is expressed on large granular lymphocytes (LGLs) of both NK- and T-cell types. CD16 is also expressed at moderate levels on granulocytes, tissue macrophages, and subsets of monocytes, eosinophils, and dendritic cells. CD16 expression is reduced or lost in PNH because of the structural abnormality of anchor membrane protein, GPI. Polymorphisms of the FcγRIIIa gene associated with high or low affinity for Ig Fc have been described that could influence the efficacy of rituximab binding affinity.
Picture
Picture
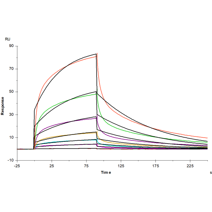
Bioactivity

SDS-PAGE

RP-HPLC



