Skip to product information
1 of 2

Fc γ RIII/CD16 His Tag Protein, Rhesus

Fc γ RIII/CD16 His Tag Protein, Rhesus

Catalog Number: UA010143 Reactivity: Rhesus Conjugation: Unconjugated Brand: UA BIOSCIENCE
Price:
Regular price $778.00 SGD
Regular price Sale price $778.00 SGD
Size:
For shipping services or bulk orders, you may request a quotation.
Secure checkout with
View full details

Product Details

Product Specification


Species Rhesus macaque
Synonyms CD16, FcγRIIIa
Accession A3RFZ7-1
Amino Acid Sequence

Glu21 -Gly206, with C-terminal 8*His Tag

EDLPKAVVFLEPQWYRVLEKDSVTLKCQGAYSPEDNSTRWFHNESLISSQTSSYFIAAARVNNSGEYRCQTSLSTLSDPVQLEVHIGWLLLQAPRWVFKEEESIHLRCHSWKNTLLHKVTYLQNGKGRKYFHQNSDFYIPKATLKDSGSYFCRGLIGSKNVSSETVNITITQDLAVSSISSFFPPGGGGSGGGSHHHHHHHH

Expression System HEK293
Molecular Weight 33-43kDa (Reducing)
Purity

>95% by SDS-PAGE & RP-HPLC

Endotoxin <0.1EU/μg
Conjugation Unconjugated
Tag His Tag
Physical Appearance Lyophilized Powder
Storage Buffer PBS, pH7.4
Reconstitution Reconstitute at 0.1-1 mg/ml according to the size in ultrapure water after rapid centrifugation.
Stability & Storage · 12 months from date of receipt, lyophilized powder stored at -20 to -80℃.
· 3 months, -20 to -80℃ under sterile conditions after reconstitution.
· 1 week, 2 to 8℃ under sterile conditions after reconstitution.
· Please avoid repeated freeze-thaw cycles.

Background

CD16 (FcγRIIIa) is a type I transmembrane receptor containing two extracellular Ig-like domains. CD16 is a low affinity IgG receptor mediating antibody-dependent cellular cytotoxicity (ADCC) by NK cells and was also demonstrated to directly recognize unknown tumor ligand. CD16 signals via association with the adaptor molecules CD3z and FcεRγ that contain the activation ITAM motif. The Fc receptor CD16 is the only receptor that can activate resting NK cells when stimulated in isolation. Recently CD16 was reported to be the most potent activating receptor on freshly isolated human NK cells, able to elicit strong cytotoxicity and cytokine production.CD16 is involved in antibody-dependent cell-mediated cytotoxicity and is expressed on large granular lymphocytes (LGLs) of both NK- and T-cell types. CD16 is also expressed at moderate levels on granulocytes, tissue macrophages, and subsets of monocytes, eosinophils, and dendritic cells. CD16 expression is reduced or lost in PNH because of the structural abnormality of anchor membrane protein, GPI. Polymorphisms of the FcγRIIIa gene associated with high or low affinity for Ig Fc have been described that could influence the efficacy of rituximab binding affinity.

Picture

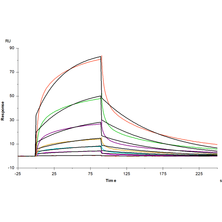
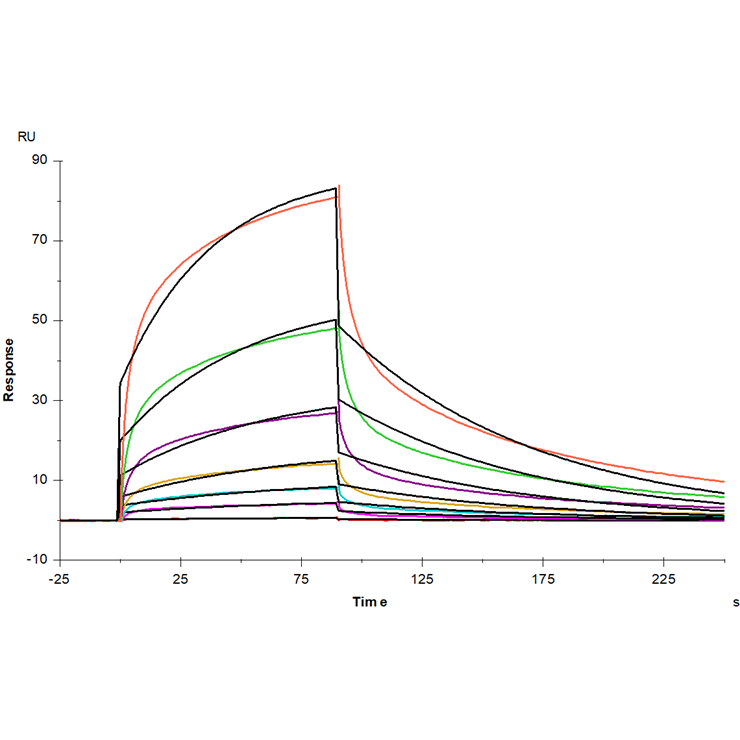
Bioactivity

Anti-His antibody Immobilized on CM5 Chip captured Fc γ RIII/CD16 His Tag, Rhesus (Cat.No.UA010143), can bind Pertuzumab with an affinity constant of 0.866μM as determined in SPR assay (Biacore T200).

SDS-PAGE

2μg (R: reducing conditions, N: non-reducing conditions).

RP-HPLC

Customer Reviews

Be the first to write a review
0%
(0)
0%
(0)
0%
(0)
0%
(0)
0%
(0)