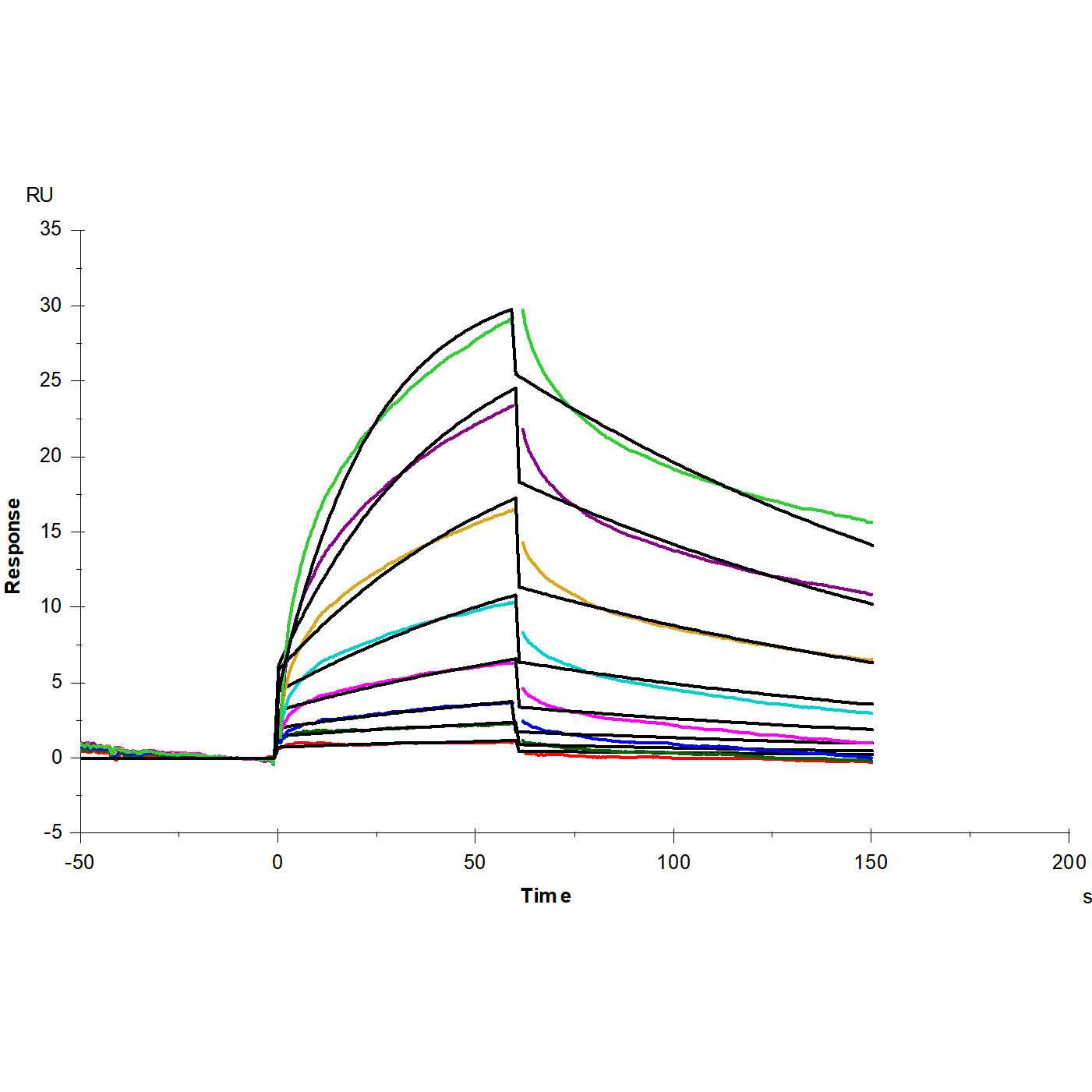
Protein A Chip captured Fas/TNFRSF6/CD95 Fc Chimera Protein, Mouse (Cat. No. UA011036), can bind Fas Ligand/TNFRFS6 his tag protein mouse (Cat. No. UA011012) with an affinity constant of 0.46μM as determined in SPR assay.
Product Details
Product Details
Product Specification
Species | Mouse |
Synonyms | ALPS1A, APO1, APT1, FAS1, FASTM, FasR |
Accession | P25446 |
Amino Acid Sequence | Gln22-Arg169 with Human IgG Fc at the C-Terminus |
Expression System | HEK293 |
Molecular Weight | 47-60kDa(R) |
Purity | >95% by SDS-PAGE & SEC |
Conjugation | Unconjugated |
Physical Appearance | Lyophilized Powder |
Storage Buffer | PBS, PH7.4, 5% trehalose |
Reconstitution | Reconstitute at 0.1-1 mg/ml according to the size in ultrapure water after rapid centrifugation. |
Stability & Storage | · 12 months from date of receipt, lyophilized powder stored at -20 to -80℃. · 3 months, -20 to -80℃ under sterile conditions after reconstitution. · 1 week, 2 to 8℃ under sterile conditions after reconstitution. · Please avoid repeated freeze-thaw cycles. |
Reference | Xie C, Yang S, Li Y, Zhang M, Xu Q, Wan Z, Song L, Lv Y, Luo D, Li Q, Wang Y, Chen H, Mei S. Associations of exposure to organochlorine pesticides and polychlorinated biphenyls with chronic kidney disease among adults: the modifying effects of lifestyle. Environ Sci Pollut Res Int. 2024 Jul 3. |
Background
Fas, also known as the FAS receptor (FasR), apoptosis antigen 1 (APO-1 or APT), cluster of differentiation 95 (CD95), or tumor necrosis factor receptor superfamily member 6 (TNFRSF6), is a cell surface death receptor that triggers programmed cell death, or apoptosis. In mice, the FasR gene is located on chromosome 19, and orthologous sequences, which are evolutionarily related, are present in most mammals.
Recent research has indicated a dual role for Fas in cancer biology. While it is traditionally associated with the induction of apoptosis, it has also been shown to promote tumor growth. During tumorigenesis, Fas is often downregulated, or tumor cells may develop resistance to apoptosis. Regardless of their sensitivity to Fas-mediated apoptosis, cancer cells generally rely on the constitutive activity of Fas for optimal growth. This activity is often stimulated by the Fas ligand, which is produced by the cancer cells themselves.
Picture
Picture
SDS-PAGE
SEC-HPLC
SPR

