1μg (R: reducing conditions, N: non-reducing conditions).
Product Details
Product Details
Product Specification
Species | Human |
Antigen | EphA10 |
Synonyms | Ephrin type-A receptor 10, EPHA10 |
Accession | Q5JZY3 |
Amino Acid Sequence | Glu34-Ala565, with C-terminal 10*His EEVILLDSKASQAELGWTALPSNGWEEISGVDEHDRPIRTYQVCNVLEPNQDNWLQTGWISRGRGQRIFVELQFTLRDCSSIPGAAGTCKETFNVYYLETEADLGRGRPRLGGSRPRKIDTIAADESFTQGDLGERKMKLNTEVREIGPLSRRGFHLAFQDVGACVALVSVRVYYKQCRATVRGLATFPATAAESAFSTLVEVAGTCVAHSEGEPGSPPRMHCGADGEWLVPVGRCSCSAGFQERGDFCEACPPGFYKVSPRRPLCSPCPEHSRALENASTFCVCQDSYARSPTDPPSASCTRPPSAPRDLQYSLSRSPLVLRLRWLPPADSGGRSDVTYSLLCLRCGREGPAGACEPCGPRVAFLPRQAGLRERAATLLHLRPGARYTVRVAALNGVSGPAAAAGTTYAQVTVSTGPGAPWEEDEIRRDRVEPQSVSLSWREPIPAGAPGANDTEYEIRYYEKGQSEQTYSMVKTGAPTVTVTNLKPATRYVFQIRAASPGPSWEAQSFNPSIEVQTLGEAASGSRDQSPAGGGSGGGSHHHHHHHHHH |
Expression System | HEK293 |
Molecular Weight | 68-90kDa |
Purity | >95% by SDS-PAGE |
Endotoxin | <0.1EU/μg |
Conjugation | Unconjugated |
Tag | His Tag |
Physical Appearance | Lyophilized Powder |
Storage Buffer | PBS, pH7.4 |
Reconstitution | Reconstitute at 0.1-1 mg/ml according to the size in ultrapure water after rapid centrifugation. |
Stability & Storage | · 12 months from date of receipt, lyophilized powder stored at -20 to -80℃. · 3 months, -20 to -80℃ under sterile conditions after reconstitution. · 1 week, 2 to 8℃ under sterile conditions after reconstitution. · Please avoid repeated freeze-thaw cycles. |
Reference | 1. Jing Peng, Danhua Zhang. Coexpression of EphA10 and Gli3 promotes breast cancer cell proliferation, invasion and migration, J Investig Med. 2021 Aug;69(6):1215-1221. Epub 2021 May 14. |
Background
Ephrin receptors (Ephs), the largest subfamily of receptor tyrosine kinases, are known to modulate cell–cell signaling by interacting with cells’ membrane-bound ephrin ligands on neighboring cells, thereby regulating tissue organization, vascular development, and progression of many diseases including cancer. Ephrin receptor A10 (EphA10), a member of the Eph subfamily, is not expressed in normal human adult tissue except in the testis. The Eph/ephrin signaling mediates cell-cell interaction and contributes to the tumorigenesis, angiogenesis and metastasis in many cancers. EphA10 expression is common in malignant cells across histology of various tumors and has been associated with poor prognosis in patients with breast, prostate, and gallbladder cancers.
Picture
Picture
SDS-PAGE

ELISA

Immobilized EphA10 His Tag, Human (Cat. No. UA010609) at 1.0μg/mL (100μL/well) can bind Ephrin-A3 Fc Chimera, Human (Cat. No. UA010141) with EC50 of 0.23-2.35μg/ml.
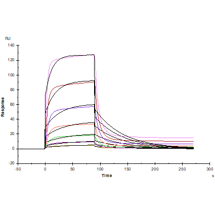
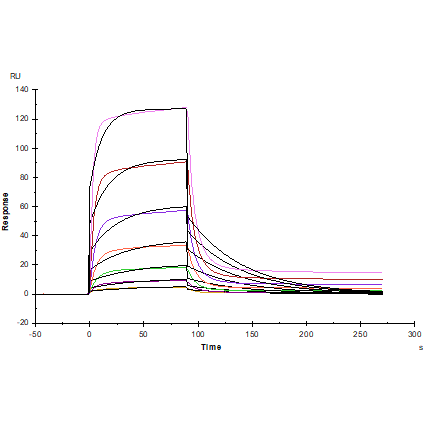
SPR

Protein A Chip captured Ephrin-A3 Fc Chimera, Human (Cat. No. UA010141), can bind EphA10 His Tag, Human (Cat. No. UA010609) with an affinity constant of 57.08nM as determined in SPR assay.


