Skip to product information
1 of 3

TMIGD2/CD28H Fc Chimera Protein, Human

TMIGD2/CD28H Fc Chimera Protein, Human

Catalog Number: UA010127 Reactivity: Human Conjugation: Unconjugated Brand: UA BIOSCIENCE
Price:
Regular price $600 USD
Regular price Sale price $600 USD
Size:
For shipping services or bulk orders, you may request a quotation.
Secure checkout with
View full details

Product Details

Product Specification


Species Human
Accession Q96BF3
Amino Acid Sequence

Leu23-Gly150, with C-terminal Human IgG1 Fc LSVQQGPNLLQVRQGSQATLVCQVDQATAWERLRVKWTKDGAILCQPYITNGSLSLGVCGPQGRLSWQAPSHLTLQLDPVSLNHSGAYVCWAAVEIPELEEAEGNITRLFVDPDDPTQNRNRIASFPGIEGRMDPKSSDKTHTCPPCPAPELLGGPSVFLFPPKPKDTLMISRTPEVTCVVVDVSHEDPEVKFNWYVDGVEVHNAKTKPREEQYNSTYRVVSVLTVLHQDWLNGKEYKCKVSNKALPAPIEKTISKAKGQPREPQVYTLPPSRDELTKNQVSLTCLVKGFYPSDIAVEWESNGQPENNYKTTPPVLDSDGSFFLYSKLTVDKSRWQQGNVFSCSVMHEALHNHYTQKSLSLSPGK

Expression System HEK293
Molecular Weight 49-64kDa (Reducing)
Purity

>95% by SDS-PAGE

Endotoxin <0.1EU/μg
Conjugation Unconjugated
Tag Human Fc Tag
Physical Appearance Lyophilized Powder
Storage Buffer PBS, pH7.4
Reconstitution Reconstitute at 0.1-1 mg/ml according to the size in ultrapure water after rapid centrifugation.
Stability & Storage · 12 months from date of receipt, lyophilized powder stored at -20 to -80℃.
· 3 months, -20 to -80℃ under sterile conditions after reconstitution.
· 1 week, 2 to 8℃ under sterile conditions after reconstitution.
· Please avoid repeated freeze-thaw cycles.

Background

Transmembrane and immunoglobulin domain containing 2 (TMIGD2)is new a immune checkpoint molecule of the B7:CD28 family which is a novel cell adhesion receptor that is expressed in various human organs and tissues, mainly in cells with epithelium and endothelium origins. TMIGD2 regulates cellular morphology, homophilic cell aggregation, and cell-cell interaction. TMIGD2 activity also modulates actin stress fiber formation and focal adhesion and reduces cell migration. Silencing of expression of TMIGD2 by small interfering RNA (siRNA) and by ectopic overexpression in endothelial cells showed that TMIGD2 regulates capillary tube formation in vitro, and B16F melanoma cells engineered to express TMIGD2 displayed extensive angiogenesis in the mouse Matrigel angiogenesis model. Moreover, TMIGD2, through its proline-rich cytoplasmic domain, associates with multiple Src homology 3 (SH3)-containing signaling proteins, including SH3 protein interacting with Nck (SPIN90/WISH), bullous pemphigoid antigen-1, and calcium channel β2.Silencing of expression of SPIN90/WISH by siRNA in endothelial cells showed that SPIN90/WISH is required for capillary tube formation. These features of TMIGD2 suggest that TMIGD2 is a novel receptor that plays an important role in cell-cell interaction, cell migration, and angiogenesis. 

Picture

Bioactivity

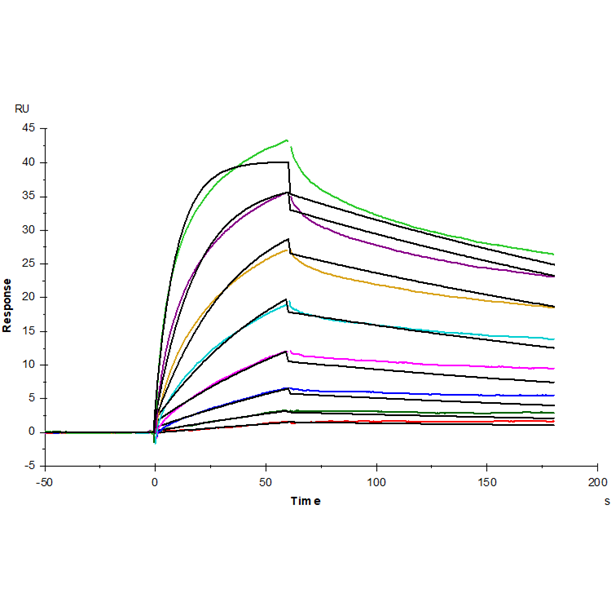
Anti-His antibody Immobilized on CM5 Chip captured B7-H7/HHLA2 His Tag, Cynomolgus (Cat. No. UA010264), can bind TMIGD2/CD28H Fc Chimera, Human (Cat. No. UA010127) with an affinity constant of 73.34nM as determined in SPR assay.
Immobilized TMIGD2/CD28H Fc Chimera, Human (Cat. No. UA010127) at 2.0μg/mL (100μL/well) can bind B7-H7/HHLA2 His Tag, Cynomolgus (Cat. No. UA010264) with EC50 of 1.74-1.76μg/ml.

SDS-PAGE

1μg (R: reducing conditions, N: non-reducing conditions).

Customer Reviews

Be the first to write a review
0%
(0)
0%
(0)
0%
(0)
0%
(0)
0%
(0)