Product Details
Product Details
Product Specification
Species | Human |
Synonyms | NOTCH1, TAN1, NEXT, NICD, hN1, AOVD1, AOS5 |
Accession | P46531 |
Amino Acid Sequence | Ala19-Gln526, with C-8*His |
Expression System | HEK293 |
Molecular Weight | 72kDa |
Purity | >95% by SDS-PAGE |
Endotoxin | <0.1EU/μg |
Conjugation | Unconjugated |
Tag | His Tag |
Physical Appearance | Lyophilized Powder |
Storage Buffer | PBS, pH7.4 |
Reconstitution | Reconstitute at 0.1-1 mg/ml according to the size in ultrapure water after rapid centrifugation. |
Stability & Storage | · 12 months from date of receipt, lyophilized powder stored at -20 to -80℃. · 3 months, -20 to -80℃ under sterile conditions after reconstitution. · 1 week, 2 to 8℃ under sterile conditions after reconstitution. · Please avoid repeated freeze-thaw cycles. |
Reference |
1、Wu L. et al. (2000) MAML1, a human homologue of Drosophila mastermind, is a transcriptional co-activator for NOTCH receptors. Nat Genet. 26(4):484-489. 2、Wu L. et.al. (2002) Identification of a family of mastermind-like transcriptional coactivators for mammalian notch receptors. Mol Cell Biol. 22(21):7688-7700. 3、Zhou S. et al. (2000) SKIP, a CBF1-associated protein, interacts with the ankyrin repeat domain of NotchIC to facilitate NotchIC function. Mol Cell Biol. 20(7):2400-2410. |
Background
Notch family consists of four highly conserved transmembrane receptors, the release of the active intracellular domain requires the enzymatic activity of gamma secretase. Notch is involved in embryonic development and in many physiological processes of normal cells where it regulates growth, apoptosis and differentiation. Notch 1, a member of the Notch family, is implicated in many types of cancer, including breast cancer (especially triple negative breast cancer), leukemias, brain tumors, and many others. Notch 1 is tightly connected to many signaling pathways that are therapeutically involved in tumorigenesis. Together, they impact poptosis, proliferation, chemosensitivity, immune-response and the population of cancer stem cells. Notch 1 inhibition can be achieved through various and diverse methods, among the most common are the gamma secretase inhibitors which produce a pan-Notch inhibition, or the use of Notch 1 siRNA or Notch 1 monoclonal antibodies (mAb) which produce a more specific blockade. Downregulation of Notch 1 can be used alone or in combination with chemotherapy where a synergistic effect and a decrease in chemoresistance can be achieved. Targeting Notch1 in cancers that harbor high expression levels of Notch 1 offers an addition to therapeutic strategies recruited for managing cancer.
Picture
Picture
SDS-PAGE

ELISA

Immobilized NOTCH1 His Tag, Human (Cat. No. UA010215) at 2.0μg/mL (100μL/well) can bind DLL-4 Fc Chimera, Human (Cat. No. UA010644) with EC50 of 36.38-50.28ng/mL .
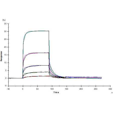
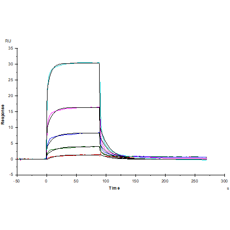
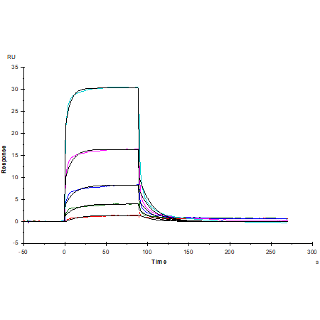
SPR

Protein A Chip captured DLL-4 Fc Chimera, Human (Cat. No. UA010644), can bind NOTCH1 His Tag, Human (Cat. No. UA010215) with an affinity constant of 1.24μM as determined in SPR assay.


