Product Details
Product Details
Product Specification
Species | Human |
Accession | Q6DKI7-1 |
Amino Acid Sequence |
Thr41-Asp171, with C-terminal Human IgG1 Fc TPEVWVQVRMEATELSSFTIRCGFLGSGSISLVTVSWGGPNGAGGTTLAVLHPERGIRQWAPARQARWETQSSISLILEGSGASSPCANTTFCCKFASFPEGSWEACGSLPPSSDPGLSAPPTPAPILRADIEGRMDPKSSDKTHTCPPCPAPELLGGPSVFLFPPKPKDTLMISRTPEVTCVVVDVSHEDPEVKFNWYVDGVEVHNAKTKPREEQYNSTYRVVSVLTVLHQDWLNGKEYKCKVSNKALPAPIEKTISKAKGQPREPQVYTLPPSRDELTKNQVSLTCLVKGFYPSDIAVEWESNGQPENNYKTTPPVLDSDGSFFLYSKLTVDKSRWQQGNVFSCSVMHEALHNHYTQKSLSLSPGK |
Expression System | HEK293 |
Molecular Weight | 45-55kDa (Reducing) |
Purity | >95% by SDS-PAGE |
Endotoxin | <0.1EU/μg |
Conjugation | Unconjugated |
Tag | Human Fc Tag |
Physical Appearance | Lyophilized Powder |
Storage Buffer | PBS, pH7.4 |
Reconstitution | Reconstitute at 0.1-1 mg/ml according to the size in ultrapure water after rapid centrifugation. |
Stability & Storage | · 12 months from date of receipt, lyophilized powder stored at -20 to -80℃. · 3 months, -20 to -80℃ under sterile conditions after reconstitution. · 1 week, 2 to 8℃ under sterile conditions after reconstitution. · Please avoid repeated freeze-thaw cycles. |
Background
PVRIG (poliovirus named receptor-related immunoglobulin domain-containing), also known as CD112R, is a novel member of the PVR-like co-signaling network. CD112R is a 34-kDa transmembrane monomer composed of a single extracellular IgV domain, one transmembrane domain, and a long intracellular domain. The human CD112R intracellular domain comprises two tyrosine residues, one of which is part of an ITIM-like motif and a potential site for phosphatases. In humans, CD112R is expressed on T cells (predominantly CD8+ T cells) and natural killer (NK) cells, but not on B cells, monocytes or neutrophils. PVRIG binds to a single ligand, poliovirus receptor-related 2 (PVRL2, also known as CD112 or Nectin-2), and exerts an inhibitory effect on cytotoxic lymphocyte activity, likely via an ITIM-like motif in its intracellular domain. CD112R transduces signals by recruiting tyrosine phosphatases. Additionally, CD112R potentially represents a new coinhibitory receptor that suppresses T cell receptor-mediated NFAT activation.
Picture
Picture
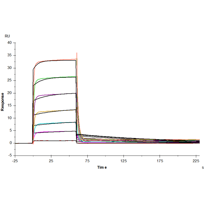
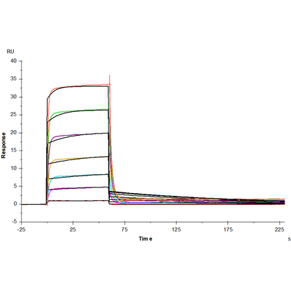
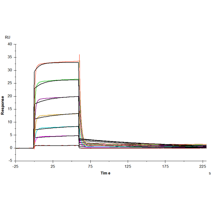
Bioactivity


SDS-PAGE



