2e5 of transient transfected anti-CD314 ScFv CAR-293 cells were stained with 0.01ug NKG2D/CD314 Fc Chimera Protein, Human, (Cat. No. UA010732) and unlable respectively (Fig. C and B), and non-transfected 293 cells were used as a control (Fig. A). Alexa Fluor 647 signal was used to evaluate the binding activity. 2e5 of transient transfected anti- CD314 ScFv CAR-293 cells were stained with isotype and Whitlow/218 Linker-Alexa Fluor® 488 (Fig. D and E). Alexa Fluor® 488 signal was used to evaluate the binding activity.
Product Details
Product Details
Product Specification
| Species | Human |
| Synonyms | Killer cell lectin-like receptor subfamily K member 1,NK cell receptor D,NKG2-D-activating NK receptor,CD314,D12S2489E,KLR,DNA Segment On Chromosome 12 (Unique) 2489 Expressed Sequence,Killer Cell Lectin Like Receptor K1,NKG2-D,Killer Cell Lectin-Like Receptor Subfamily K, Member 1,KLRK1,CD314 Antigen |
| Accession | P26718-1 |
| Amino Acid Sequence | Phe78-Val216, with N-MD and hIgG1 Fc |
| Expression System | HEK293 |
| Molecular Weight | 50-70kDa (Reducing) |
| Purity | >95% by SDS-PAGE |
| Endotoxin | <0.1EU/μg |
| Conjugation | Unconjugated |
| Tag | Human Fc Tag |
| Physical Appearance | Lyophilized Powder |
| Storage Buffer | PBS, pH7.4. |
| Reconstitution | Reconstitute at 0.1-1 mg/ml according to the size in ultrapure water after rapid centrifugation. |
| Stability & Storage |
· 12 months from date of receipt, lyophilized powder stored at -20 to -80℃. · 3 months, -20 to -80℃ under sterile conditions after reconstitution. · 1 week, 2 to 8℃ under sterile conditions after reconstitution. · Please avoid repeated freeze-thaw cycles. |
| Reference | 1.Cerwenka, A. et al. (2001) Proc. Natl. Acad. Sci. USA 98:11521. 2.Diefenbach, A. et al. (2001) Nature 413:165. 3.NKG2D and its Ligands (2002) www.rndsystems.com |
Background
NKG2D is a type II transmembrane glycoprotein having an extracellular lectin-like domain. This domain lacks the recognizable calcium-binding sites found in true C-type lectins and binds protein rather than carbohydrate ligands. Human ligands for NKG2D include MICA, MICB, and ULBP1, 2, and 3. Expression of NKG2D ligands occurs in epithelial cells, tumor cells and under conditions of stress or infection. NKG2D exists as a disulfide-linked homodimer that delivers an activating signal upon ligand binding. Signaling requires association with an adapter protein. Alternative splicing of the NKG2D mRNA results in isoforms with different cytoplasmic domains that can associate either with DAP12 to deliver a true activating signal or with DAP10 resulting in a costimulatory signal. NKG2D has been implicated in anti-tumor surveillance and the immune response against viral infection. In NK cells, NKG2D serves as an activating receptor, which itself is able to trigger cytotoxicity. The function of NKG2D on CD8+ T cells is to send co-stimulatory signals to activate them.
Picture
Picture
FC

SDS-PAGE
2μg (R: reducing condition, N: non-reducing condition).
ELISA

Immobilized MICB His
Tag, Human (Cat. No. UA010590) at 2.0μg/mL (100μL/well) can bind NKG2D/CD314 Fc
Chimera, Human (Cat. No. UA010732) with EC50 of 0.48-0.61μg/mL.

Immobilized NKG2D/CD314 Fc Chimera Protein, Human (Cat. No. UA010732) at 2.0μg/mL (100μL/well) can bind MICA His Tag Protein, Human (Cat. No. UA011069) with EC50 of 0.093-0.15μg/mL .
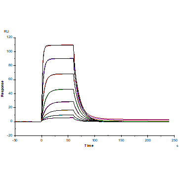
SPR

Protein A Chip
captured NKG2D/CD314 Fc Chimera, Human (Cat. No. UA010732), can bind MICB His
Tag, Human (Cat. No. UA010590) with an affinity constant of 47.67nM as
determined in SPR assay.
