Product Details
Product Details
Product Specification
Species | Human |
Antigen | IL-2R beta/CD122 |
Synonyms | IL-2R beta, CD122, IL2RB, RP5-1170K4.6, P70-75 |
Accession | P14784 |
Amino Acid Sequence | Ala27-Asp239, with C-terminal 8*His AVNGTSQFTCFYNSRANISCVWSQDGALQDTSCQVHAWPDRRRWNQTCELLPVSQASWACNLILGAPDSQKLTTVDIVTLRVLCREGVRWRVMAIQDFKPFENLRLMAPISLQVVHVETHRCNISWEISQASHYFERHLEFEARTLSPGHTWEEAPLLTLKQKQEWICLETLTPDTQYEFQVRVKPLQGEFTTWSPWSQPLAFRTKPAALGKDGGGSHHHHHHHH |
Expression System | HEK293 |
Molecular Weight | 36-42kDa |
Purity | >95% by SDS-PAGE |
Endotoxin | <0.1EU/μg |
Conjugation | Unconjugated |
Tag | His Tag |
Physical Appearance | Lyophilized powder |
Storage Buffer | PBS, pH7.4 |
Reconstitution | Reconstitute at 0.1-1 mg/ml according to the size in ultrapure water after rapid centrifugation. |
Stability & Storage | · 12 months from date of receipt, lyophilized powder stored at -20 to -80℃. · 3 months, -20 to -80℃ under sterile conditions after reconstitution. · 1 week, 2 to 8℃ under sterile conditions after reconstitution. · Please avoid repeated freeze-thaw cycles. |
Reference |
1、Foss F. (2006) Clinical experience with denileukin diftitox (ONTAK). Semin Oncol. 33(1 Suppl 3): 11-6. 2、Sprent J. et al. (2001) T cell death and memory. Science. 293(5528): 245-248. |
Background
Interleukin-2 receptor (IL-2R), as the specific receptor of interleukin-2(IL-2), perform their biological functions by binding with IL-2 to transmit signals into cells insides, which induced the downstream signal expression and participated in immune response. The longest IL-2R beta (IL-2Rβ) in the intracellular region has many binding sites for protein phosphorylation. Therefore, IL-2Rβ plays an indispensable role in signal transduction due to its sequence and structural characteristics. IL-2R mediates the multipotency of IL-2 on AC lymphocytes including T cells, B cells and NK cells. The combination of IL-2 and IL-2R complex can cause intracellular signal events and ultimately lead to cell proliferation. In addition, dysregulated expression of the IL-2Rβ abrogates development of NK cells. What’s more important is that T cell proliferation and development of IFNc-producing effector CD8+ T cells depend upon IL-2Rβ.
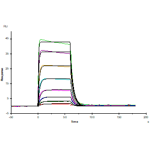
Picture
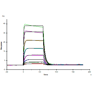
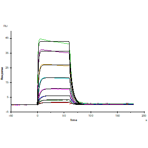
Picture
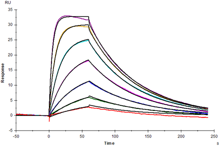
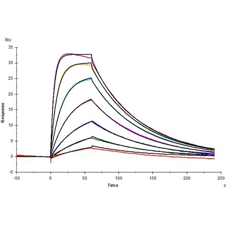
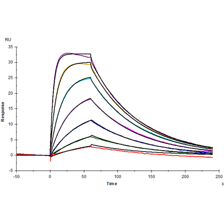
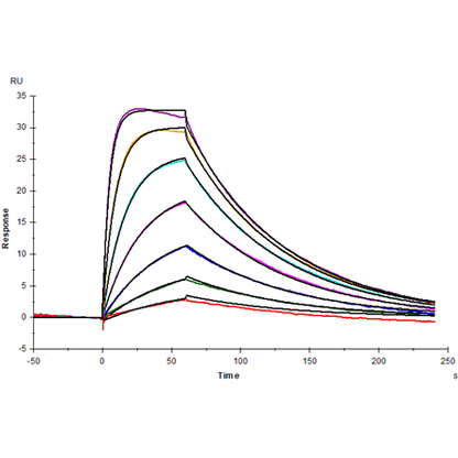
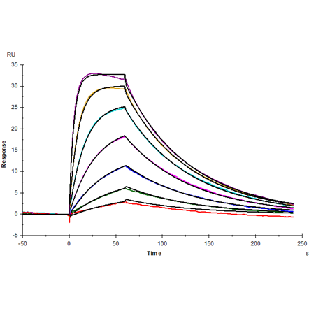
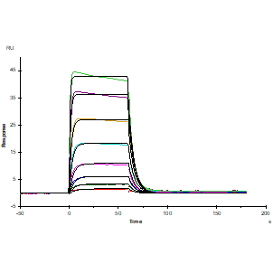
Bioactivity



SDS-PAGE




