Product Details
Product Details
Product Specification
Species | Mouse |
Antigen | IL-2R alpha/CD25 |
Synonyms | IL2RA, CD25, p55, IL2-RA, IL-2-RA |
Accession | P01590 |
Amino Acid Sequence | Glu22-Lys236, with C-terminal 8*His ELCLYDPPEVPNATFKALSYKNGTILNCECKRGFRRLKELVYMRCLGNSWSSNCQCTSNSHDKSRKQVTAQLEHQKEQQTTTDMQKPTQSMHQENLTGHCREPPPWKHEDSKRIYHFVEGQSVHYECIPGYKALQRGPAISICKMKCGKTGWTQPQLTCVDEREHHRFLASEESQGSRNSSPESETSCPITTTDFPQPTETTAMTETFVLTMEYKGGGSHHHHHHHH |
Expression System | HEK293 |
Molecular Weight | 43-65kDa |
Purity | >95% by SDS-PAGE |
Endotoxin | <0.1EU/μg |
Conjugation | Unconjugated |
Tag | His Tag |
Physical Appearance | Lyophilized Powder |
Storage Buffer | PBS, pH7.4 |
Reconstitution | Reconstitute at 0.1-1 mg/ml according to the size in ultrapure water after rapid centrifugation. |
Stability & Storage | · 12 months from date of receipt, lyophilized powder stored at -20 to -80℃. · 3 months, -20 to -80℃ under sterile conditions after reconstitution. · 1 week, 2 to 8℃ under sterile conditions after reconstitution. · Please avoid repeated freeze-thaw cycles. |
Reference |
1、Driesen J. et al. (2008) CD25 as an immune regulatory molecule expressed on myeloid dendritic cells. Immunobiology. 213(9-10): 849-858. 2、Bien E. et al. (2008) Serum soluble interleukin 2 receptor alpha in human cancer of adults and children: a review. Biomarkers. 13(1): 1-26. |
Background
The pleiotropic interleukin-2 (IL-2) cytokine is a central modulator of immune responses by shaping the differentiation and effector function of T cells. The IL-2 receptor α (IL-2Rα) is the unique chain of the trimeric IL-2 receptor and increases affinity and cells’ responsiveness to IL-2. IL-2Rα can be cleaved by different proteases resulting in soluble IL-2Rα (sIL-2Rα). Contrary to cell-bound IL-2Rα, several studies point to an antagonist role of sIL-2Rα on IL-2 signaling by interfering with binding of IL-2 to the cell-bound receptor and diminishing STAT5 phosphorylation, thereby inhibiting induction of the expression of cell bound IL-2Rα and increasing differentiation of the T cell response towards a T helper 17 phenotype, a T cell phenotype normally inhibited by IL-2.
Picture
Picture
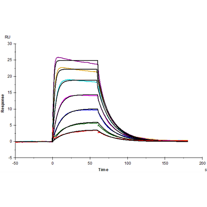
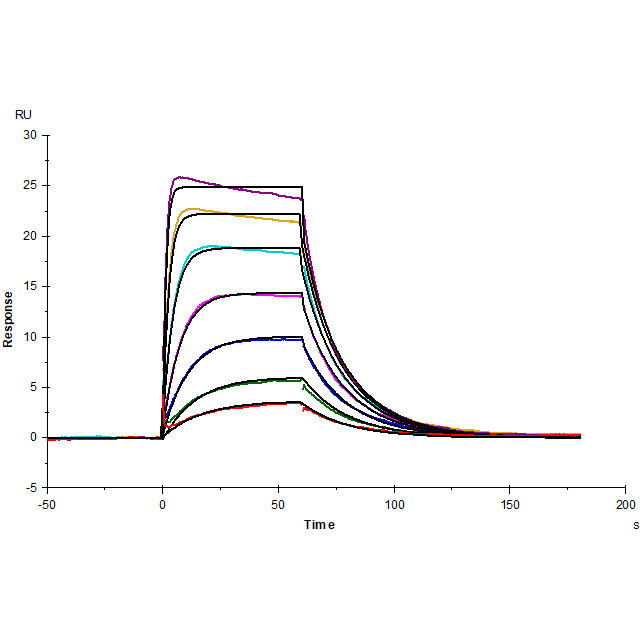
Bioactivity

SDS-PAGE


