Product Details
Product Details
Product Specification
Species | Human |
Accession | P52797 |
Amino Acid Sequence |
Gln23-Ser213, with C-terminal Human IgG Fc QGPGGALGNRHAVYWNSSNQHLRREGYTVQVNVNDYLDIYCPHYNSSGVGPGAGPGPGGGAEQYVLYMVSRNGYRTCNASQGFKRWECNRPHAPHSPIKFSEKFQRYSAFSLGYEFHAGHEYYYISTPTHNLHWKCLRMKVFVCCASTSHSGEKPVPTLPQFTMGPNVKINVLEDFEGENPQVPKLEKSISIEGRMDPKSSDKTHTCPPCPAPELLGGPSVFLFPPKPKDTLMISRTPEVTCVVVDVSHEDPEVKFNWYVDGVEVHNAKTKPREEQYNSTYRVVSVLTVLHQDWLNGKEYKCKVSNKALPAPIEKTISKAKGQPREPQVYTLPPSRDELTKNQVSLTCLVKGFYPSDIAVEWESNGQPENNYKTTPPVLDSDGSFFLYSKLTVDKSRWQQGNVFSCSVMHEALHNHYTQKSLSLSPGK |
Expression System | HEK293 |
Molecular Weight | 60-70kDa (Reducing) |
Purity | >95% by SDS-PAGE&RP-HPLC |
Endotoxin | <0.1EU/μg |
Conjugation | Unconjugated |
Tag | Human Fc Tag |
Physical Appearance | Lyophilized Powder |
Storage Buffer | PBS, pH7.4 |
Reconstitution | Reconstitute at 0.1-1 mg/ml according to the size in ultrapure water after rapid centrifugation. |
Stability & Storage | · 12 months from date of receipt, lyophilized powder stored at -20 to -80℃. · 3 months, -20 to -80℃ under sterile conditions after reconstitution. · 1 week, 2 to 8℃ under sterile conditions after reconstitution. · Please avoid repeated freeze-thaw cycles. |
Background
Eph receptors compose the largest family of receptor tyrosine kinases (RTKs), which are capable of recognizing signals from the cell environment and influencing cell-cell interaction and cell migration. Ephrins are the ligands to Eph receptors and they stimulate bi-directional signaling of the Eph-ephrin axis. Ephrin-A3 (EFNA3) is one of the ephrin ligands which could bind to EphA2, EphA3, EphA5, EphA7, EphA8 and more poorly to EphA4. It is not only expressed in skeletal muscle, spleen, thymus, prostate, testis, ovary, small intestine and peripheral blood leukocytes, but is also present in neuroblastomas, neural cancers and leukemias. The dysregulated expression of EFNA3 has been observed in many types of human cancer. The expression level of EFNA3 was found to be upregulated 26-fold in squamous cell lung carcinoma, 3.8-fold in liver cancer, 1.6-fold in colon cancer and downregulated 2.6-fold in kidney carcinoma, respectively.
Picture
Picture
SDS-PAGE

RP-HPLC


ELISA

Immobilized EphA6 His Tag, Human (Cat. No. UA010591) at 1.0μg/mL (100μL/well) can bind Ephrin-A3 Fc Chimera, Human (Cat. No. UA010141) with EC50 of 0.71-1.11μg/ml.

Immobilized EphA10
His Tag, Human (Cat. No. UA010609) at 1.0μg/mL (100μL/well) can bind Ephrin-A3
Fc Chimera, Human (Cat. No. UA010141) with EC50 of 0.23-2.35μg/ml.

Immobilized EphA5 His Tag, Human (Cat. No. UA010566) at 2.0μg/mL (100μL/well) can bind Ephrin-A3 Fc Chimera, Human (Cat. No. UA010141) with EC50 of 0.50-0.68μg/mL .
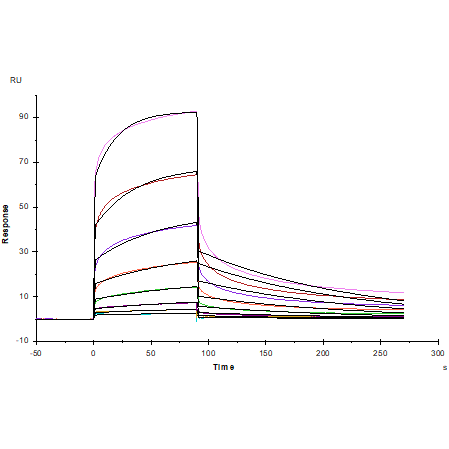
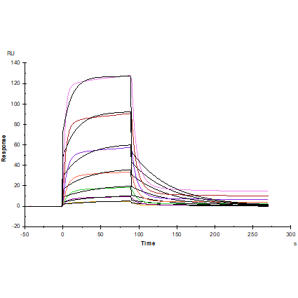
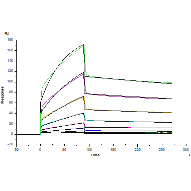
SPR

Protein A Chip captured Ephrin-A3 Fc Chimera, Human (Cat. No. UA010141), can bind EphA6 His Tag, Human (Cat. No. UA010591) with an affinity constant of 0.35μM as determined in SPR assay.

Protein A Chip captured Ephrin-A3 Fc Chimera, Human (Cat. No. UA010141), can bind EphA10 His Tag, Human (Cat. No. UA010609) with an affinity constant of 57.08nM as determined in SPR assay.

Protein A Chip captured Ephrin-A3 Fc Chimera, Human (Cat. No. UA010141), can bind EphA5 His Tag, Human (Cat. No. UA010566) with an affinity constant of 19.49 nM as determined in SPR assay.






