Skip to product information
1 of 8

EGF Protein, Human

EGF Protein, Human

Catalog Number: UA040003 Reactivity: Human Conjugation: Unconjugated Brand: UA BIOSCIENCE
Price:
Regular price $39.00 SGD
Regular price Sale price $39.00 SGD
Size:
For shipping services or bulk orders, you may request a quotation.
Secure checkout with
View full details

Product Details

Product Specification


Species Human
Accession P01133
Amino Acid Sequence

Asn971-Arg1023, with an N-terminal Met

MNSDSECPLS HDGYCLHDGV CMYIEALDKY ACNCVVGYIGERCQYRDLKW WELR

Expression System E.coli
Molecular Weight

7kDa (Reducing)

Purity

>95% by SDS-PAGE

Endotoxin <0.2EU/μg
Conjugation Unconjugated
Tag No Tag
Physical Appearance Lyophilized Powder
Storage Buffer

PBS, pH7.4

Reconstitution

Reconstitute at 0.1-1 mg/ml according to the size in ultrapure water after rapid centrifugation.

Stability & Storage

· 12 months from date of receipt, lyophilized powder stored at -20 to -80℃.

· 3 months, -20 to -80℃ under sterile conditions after reconstitution.

· 1 week, 2 to 8℃ under sterile conditions after reconstitution.

· Please avoid repeated freeze-thaw cycles.

Background

Epidermal Growth Factor (EGF) is a potent growth factor that stimulates the proliferation of various epidermal and epithelial cells. Epidermal growth factor (EGF) binds to epidermal growth factor receptor and stimulates an intracellular signal transduction cascade, leading to activation of genes that regulate cell proliferation, angiogenesis, motility, and metastasis. Epidermal growth factor (EGF) mRNA and protein are expressed in a number of adult tissues, especially in epithelial cells in the gastrointestinal tract. Predominant sites of synthesis of this peptide are the submandibular glands, the Brunner glands in the small intestine and the kidney.

Picture

Western Blot

Primary antibody: Phospho-Stat5 (Tyr694) Recombinant Rabbit mAb(S0B0851) at 1/1000 dilution 

Lane 1: untreated A431 whole cell lysate 20 µg 

Lane 2: A431 treated with 100 ng/ml EGF(UA040003) for 5 minutes whole cell lysate 20 µg 

Secondary antibody: Goat Anti-rabbit IgG, (H+L), HRP conjugated at 1/10000 dilution 

Predicted MW: 91 kDa 

Observed MW: 90 kDa

Bioactivity

The EC50 as determined by a cell proliferation assay using murine Balb/c 3T3 cells is less than 2 ng/ml.

SDS-PAGE

2μg(R: reducing conditions, N: non-reducing conditions).

ELISA

Immobilized EGF, Human (Cat. No. UA040003) at 0.5μg/mL (100μL/well) can bind EGFR Fc Chimera, Human (Cat. No. UA010174) with EC50 of 0.11-0.15μg/ml.

Immobilized EGF, Human (Cat. No. UA040003) at 1.0μg/mL (100μL/well) can bind EGFR His Tag, Rhesus macaque (Cat. No. UA010168) with EC50 of 0.54-1.0μg/ ml.

Immobilized EGF, Human (Cat. No. UA040003) at 1.5μg/mL (100μL/well) can bind EGFR His Tag, Mouse (Cat. No. UA010161) with EC50 of 0.84-1.44μg/ ml.

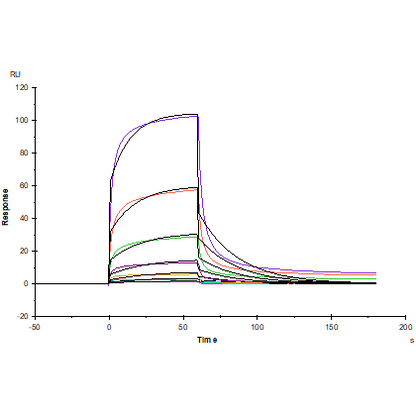
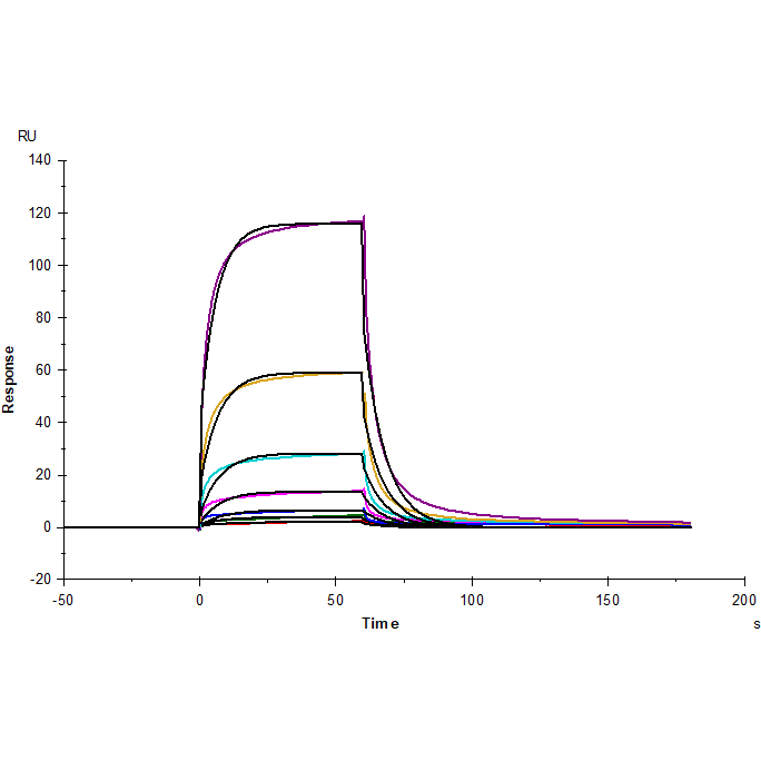
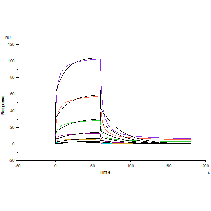
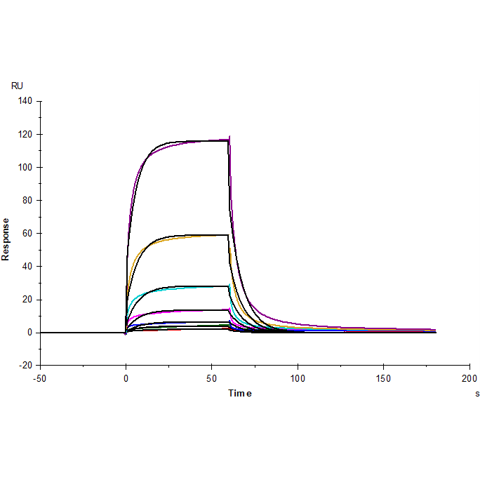
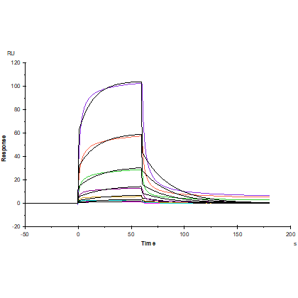
SPR

CM5 Chip captured EGF, Human (Cat. No. UA040003), can bind EGFR His Tag, Human (Cat. No. UA010306) with an affinity constant of 2.01μM as determined in SPR assay.

CM5 Chip captured EGF, Human (Cat. No. UA040003), can bind EGFR His Tag, Rhesus macaque (Cat. No. UA010168) with an affinity constant of 0.53mM as determined in SPR assay.