Product Details
Product Details
Product Specification
Species | Human |
Synonyms | HTX4, ACTRIIB, ACTR2B |
Accession | Q13705 |
Amino Acid Sequence | Ser19-Thr134, with C-terminal His |
Expression System | HEK293 |
Molecular Weight | 25-35kDa |
Purity | >95% by SDS-PAGE |
Endotoxin | <0.1EU/μg |
Conjugation | Unconjugated |
Tag | His Tag |
Physical Appearance | Lyophilized Powder |
Storage Buffer | PBS, pH7.4 |
Reconstitution | Reconstitute at 0.1-1 mg/ml according to the size in ultrapure water after rapid centrifugation. |
Stability & Storage |
· 12 months from date of receipt, lyophilized powder stored at -20 to -80℃. · 3 months, -20 to -80℃ under sterile conditions after reconstitution. · 1 week, 2 to 8℃ under sterile conditions after reconstitution. · Please avoid repeated freeze-thaw cycles. |
Reference | 1、Olsen O E. et al. (2020) Activins as Dual Specificity TGF-β Family Molecules: SMAD-Activation via Activin- and BMP-Type 1 Receptors. Biomolecules. 10(4): 519. |
Background
Activin proteins that belong to the transforming growth factor-beta (TGF-β) superfamily, exert their biological actions by binding to heteromeric receptor complexes of type I and type II serine/threonine kinase receptors. On ligand binding, type I and II receptors form a stable complex, resulting in phosphorylation of type I receptors by type II receptors with constitutive kinase activity, and subsequently initiates the activation of downstream molecules including the endogenous Smads. ActRIIB, also known as ActRIIB, is a type II receptor containing an extracellular domain (ECD), a transmembrane segment, and a cytoplasmic region that includes the kinase domain. ActRIIB is a receptor for activin A, activin B and inhibin A. Multiple ActRIIB isoforms can also be generated, which bind activin isoforms with different affinities.
Picture
Picture
SDS-PAGE

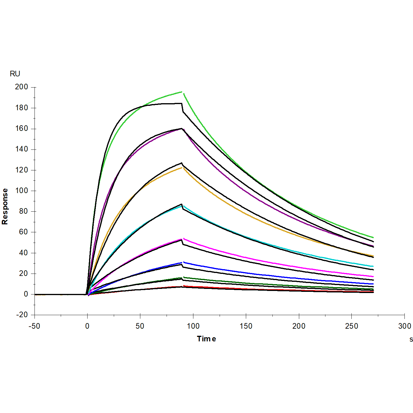
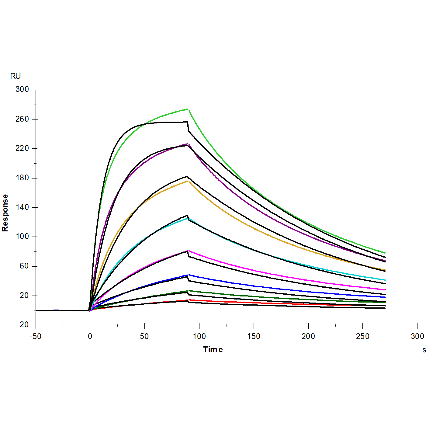
SPR

CM5 Chip captured Activin A Protein, Human/Mouse/Rat (Cat. No. UA040343), can bind ACVR2B His Tag Protein, Human (Cat. No. UA010244) with an affinity constant of 48.62nM as determined in SPR assay.

CM5 Chip captured Activin A Protein, Human (Cat. No. UA040178), can bind ACVR2B His Tag Protein, Human (Cat. No. UA010244) with an affinity constant of 41.98nM as determined in SPR assay.


