1μg (R: reducing condition, N: non-reducing condition).
Product Details
Product Details
Product Specification
Species | Mouse |
Antigen | TNFR-2/CD120b |
Synonyms | TNFRSF1B, CD120b, TBPII, TNF-R-II, TNF-R75, TNFBR, TNFR1B, TNFR2, TNFR80, p75, p75TNFR |
Accession | P25119 |
Amino Acid Sequence | Val23-Gly258, with C-terminal 8*His VPAQVVLTPYKPEPGYECQISQEYYDRKAQMCCAKCPPGQYVKHFCNKTSDTVCADCEASMYTQVWNQFRTCLSCSSSCTTDQVEIRACTKQQNRVCACEAGRYCALKTHSGSCRQCMRLSKCGPGFGVASSRAPNGNVLCKACAPGTFSDTTSSTDVCRPHRICSILAIPGNASTDAVCAPESPTLSAIPRTLYVSQPEPTRSQPLDQEPGPSQTPSILTSLGSTPIIEQSTKGGGGGSHHHHHHHH |
Expression System | HEK293 |
Molecular Weight | 43-53kDa |
Purity | >95% by SDS-PAGE |
Endotoxin | <0.1EU/μg |
Conjugation | Unconjugated |
Tag | His Tag |
Physical Appearance | Lyophilized powder |
Storage Buffer | PBS, pH7.4 |
Reconstitution | Reconstitute at 0.1-1 mg/ml according to the size in ultrapure water after rapid centrifugation. |
Stability & Storage | · 12 months from date of receipt, lyophilized powder stored at -20 to -80℃. · 3 months, -20 to -80℃ under sterile conditions after reconstitution. · 1 week, 2 to 8℃ under sterile conditions after reconstitution. · Please avoid repeated freeze-thaw cycles. |
Reference | 1. Review Expert Opin Ther Targets . 2019 Apr;23(4):295-307. Epub 2019 Mar 19. |
Background
Tumor necrosis factor receptor superfamily 2 (TNFR-2) is a member of the TNF-receptor superfamily. This protein and TNF-receptor 1 form a heterocomplex that mediates the recruitment of two anti-apoptotic proteins, c-IAP1 and c-IAP2, which possess E3 ubiquitin ligase activity. The function of IAPs in TNF-receptor signalling is unknown, however, c-IAP1 is thought to potentiate TNF-induced apoptosis by the ubiquitination and degradation of TNF-receptor-associated factor 2, which mediates anti-apoptotic signals. Knockout studies in mice also suggest a role of this protein in protecting neurons from apoptosis by stimulating. Tumor necrosis factor (TNF) is widely accepted as a tumor-suppressive cytokine via its ubiquitous receptor TNF receptor 1 (TNFR1). The other receptor, TNFR-2, is not only expressed on some tumor cells but also on suppressive immune cells, including regulatory T cells and myeloid-derived suppressor cells. In contrast to TNFR1, TNFR2 diverts the tumor-inhibiting TNF into a tumor-advocating factor. TNFR-2 directly promotes the proliferation of some kinds of tumor cells. Also activating immunosuppressive cells, it supports immune escape and tumor development. Hence, TNFR-2 may represent a potential target of cancer therapy.
Picture
Picture
SDS-PAGE

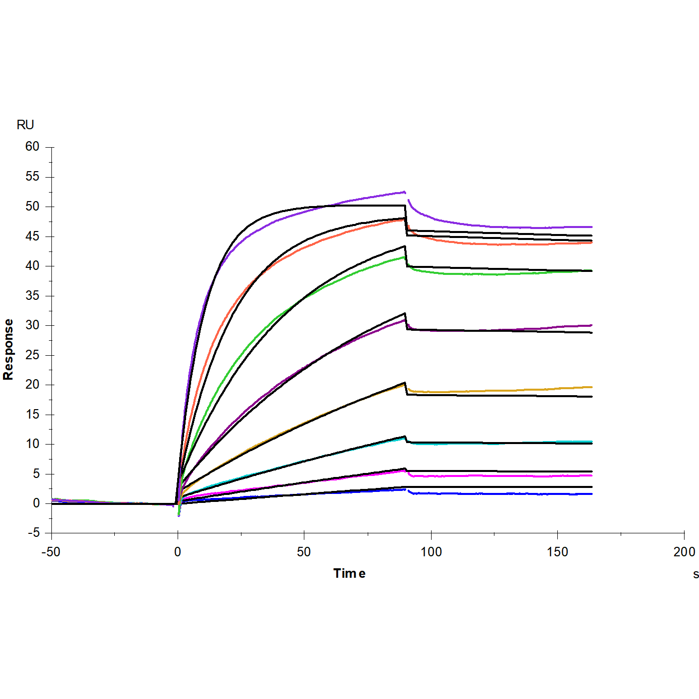
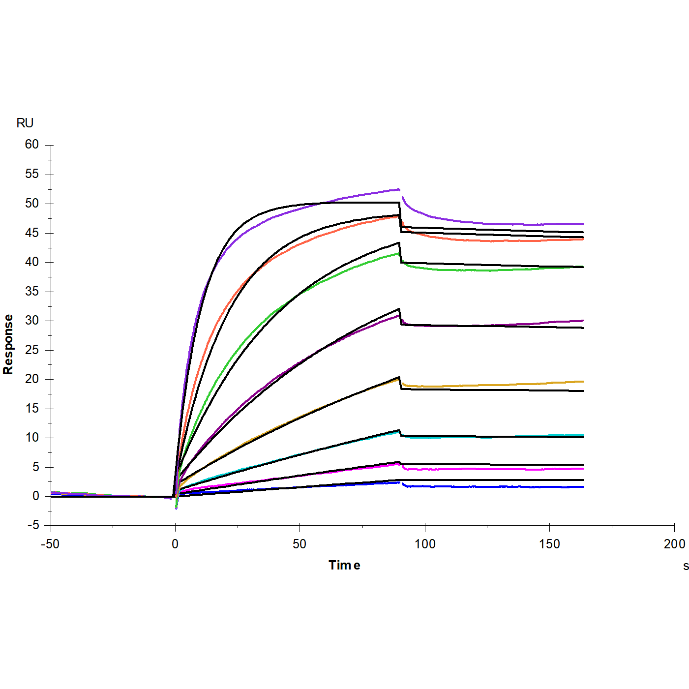
SPR

Anti-His antibody Immobilized on CM5 Chip captured TNFR-2/CD120b His Tag Protein, Mouse (Cat. No. UA010575), can bind TNF-α Protein, Mouse (Cat. No. UA040173) with an affinity constant of 0.36 nM as determined in SPR assay.

