Product Details
Product Details
Product Specification
Species | Mouse |
Accession | P26952-1 |
Amino Acid Sequence | Ser17-Lys331, with C-terminal Human IgG1 Fc SDLAAVREAPPTAVTTPIQNLHIDPAHYTLSWDPAPGADITTGAFCRKGRDIFVWADPGLARCSFQSLSLCHVTNFTVFLGKDRAVAGSIQFPPDDDGDHEAAAQDLRCWVHEGQLSCQWERGPKATGDVHYRMFWRDVRLGPAHNRECPHYHSLDVNTAGPAPHGGHEGCTLDLDTVLGSTPNSPDLVPQVTITVNGSGRAGPVPCMDNTVDLQRAEVLAPPTLTVECNGSEAHARWVARNRFHHGLLGYTLQVNQSSRSEPQEYNVSIPHFWVPNAGAISFRVKSRSEVYPRKLSSWSEAWGLVCPPEVMPVKIEGRMDPKSSDKTHTCPPCPAPELLGGPSVFLFPPKPKDTLMISRTPEVTCVVVDVSHEDPEVKFNWYVDGVEVHNAKTKPREEQYNSTYRVVSVLTVLHQDWLNGKEYKCKVSNKALPAPIEKTISKAKGQPREPQVYTLPPSRDELTKNQVSLTCLVKGFYPSDIAVEWESNGQPENNYKTTPPVLDSDGSFFLYSKLTVDKSRWQQGNVFSCSVMHEALHNHYTQKSLSLSPGK |
Expression System | HEK293 |
Molecular Weight | 80-91kDa (Reducing) |
Purity | >95% by SDS-PAGE |
Endotoxin | <0.1EU/μg |
Conjugation | Unconjugated |
Tag | Human Fc Tag |
Physical Appearance | Lyophilized Powder |
Storage Buffer | PBS, pH7.4 |
Reconstitution | Reconstitute at 0.1-1 mg/ml according to the size in ultrapure water after rapid centrifugation. |
Stability & Storage | · 12 months from date of receipt, lyophilized powder stored at -20 to -80℃. · 3 months, -20 to -80℃ under sterile conditions after reconstitution. · 1 week, 2 to 8℃ under sterile conditions after reconstitution. · Please avoid repeated freeze-thaw cycles. |
Background
Interleukin 3 receptor alpha (low affinity) (IL3RA), also known as CD123 (Cluster of Differentiation 123) is a 45-62kDa glycoprotein member of the hematopoietin receptor superfamily. This protein associates with a beta subunit common to the receptors for IL-5 and granulocyte-macrophage colony-stimulating factor (GM-CSF) to form a high-affinity receptor for IL-3. The interleukin-3 receptor α chain (CD123) has been identified as a potential immunotherapeutic target because it is overexpressed in AML compared with normal hematopoietic stem cells.
Picture
Picture
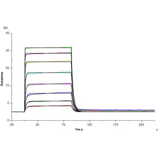
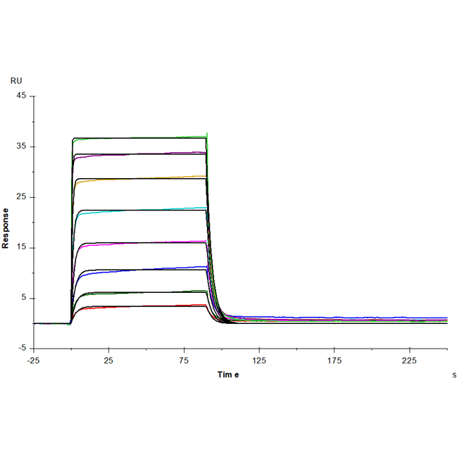
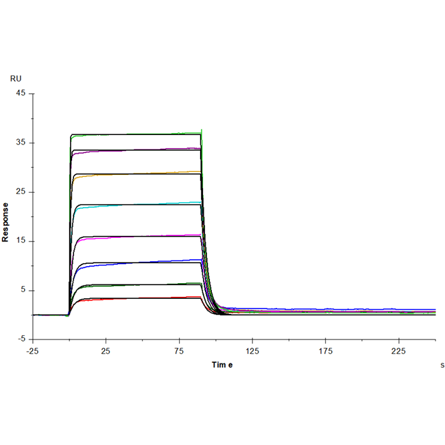
Bioactivity

IL-3 Rα/CD123 Fc Chimera, Mouse (Cat. No. UA010122) captured on Protein A Biosenor, can bind IL-3, Mouse (Cat. No. UA040064) with an affinity constant of 0.17 μM as determined in SPR assay.
SDS-PAGE

1μg (R: reducing conditions, N: non-reducing conditions).

