Product Details
Product Details
Product Specification
Species | Human |
Synonyms | FcRn, FCGRT & B2M |
Accession | P55899-1 |
Amino Acid Sequence | FCGRT Chain: Ala24-Ser297, with C-terminal 6*10 His AESHLSLLYHLTAVSSPAPGTPAFWVSGWLGPQQYLSYNSLRGEAEPCGAWVWENQVSWYWEKETTDLRIKEKLFLEAFKALGGKGPYTLQGLLGCELGPDNTSVPTAKFALNGEEFMNFDLKQGTWGGDWPEALAISQRWQQQDKAANKELTFLLFSCPHRLREHLERGRGNLEWKEPPSMRLKARPSSPGFSVLTCSAFSFYPPELQLRFLRNGLAAGTGQGDFGPNSDGSFHASSSLTVKSGDEHHYCCIVQHAGLAQPLRVELESPAKSSHHHHHH B2M Chain: Ile21-Met119 IQRTPKIQVYSRHPAENGKSNFLNCYVSGFHPSDIEVDLLKNGERIEKVEHSDLSFSKDWSFYLLYYTEFTPTEKDEYACRVNHVTLSQPKIVKWDRDM |
Expression System | HEK293 |
Molecular Weight | 33-35 & 11-13kDa |
Purity | >95% by SDS-PAGE |
Endotoxin | <0.1EU/μg |
Conjugation | Unconjugated |
Tag | His Tag |
Physical Appearance | Lyophilized Powder |
Storage Buffer | PBS, pH7.4 |
Reconstitution | Reconstitute at 0.1-1 mg/ml according to the size in ultrapure water after rapid centrifugation. |
Stability & Storage | · 12 months from date of receipt, lyophilized powder stored at -20 to -80℃. · 3 months, -20 to -80℃ under sterile conditions after reconstitution. · 1 week, 2 to 8℃ under sterile conditions after reconstitution. · Please avoid repeated freeze-thaw cycles. |
Background
The neonatal Fc receptor (FcRn) is a mostly intracellularly expressed membrane- associated receptor, which is best known for mediating the extraordinarily long half-life of IgG and placental transport of thereof. FcRn complex consists of two subunits: p51, and p14 which is equivalent to beta-2-microglobulin, and forms an MHC class I-like heterodimer. The FcRn, is expressed in human placental syncytiotrophoblast, capillary endothelium, intestinal epithelium, and other tissues. FcRn dependent placental transport of IgE from mother to offspring in mice. The FcRn interacts with IgG and albumin at acidic pH within endosomes, thus protecting these plasma proteins from degradation to keep a long plasma half-life. FcRn binds IgG with nanomolar affinities at low pH (≤6.5) (found in intracellular vacuoles), while at physiological pH (7.4) this affinity is low.
Picture
Picture
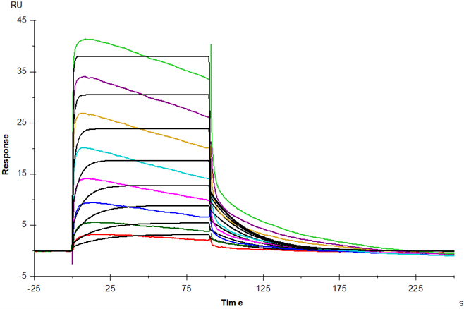
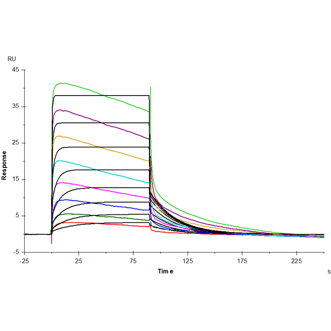
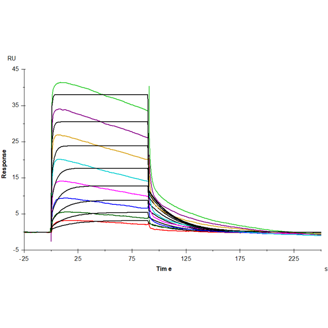
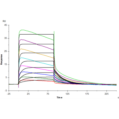
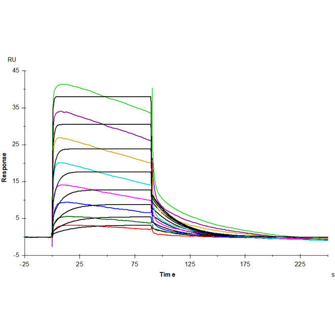
Bioactivity

SDS-PAGE


