Product Details
Product Details
Product Specification
Species | Human |
Synonyms | Cluster of differentiation 27 |
Accession | P26842 |
Amino Acid Sequence | Thr21-Ile192, with C-terminal 8*His TPAPKSCPERHYWAQGKLCCQMCEPGTFLVKDCDQHRKAAQCDPCIPGVSFSPDHHTRPHCESCRHCNSGLLVRNCTITANAECACRNGWQCRDKECTECDPLPNPSLTARSSQALSPHPQPTHLPYVSEMLEARTAGHMQTLADFRQLPARTLSTHWPPQRSLCSSDFIRIGGGSHHHHHHHH |
Expression System | HEK293 |
Molecular Weight | 35-50kDa (Reducing) |
Purity | >95% by SDS-PAGE&RP-HPLC |
Endotoxin | <0.1EU/μg |
Conjugation | Unconjugated |
Tag | His Tag |
Physical Appearance | Lyophilized Powder |
Storage Buffer | PBS, pH7.4 |
Reconstitution | Reconstitute at 0.1-1 mg/ml according to the size in ultrapure water after rapid centrifugation. |
Stability & Storage | · 12 months from date of receipt, lyophilized powder stored at -20 to -80℃. · 3 months, -20 to -80℃ under sterile conditions after reconstitution. · 1 week, 2 to 8℃ under sterile conditions after reconstitution. · Please avoid repeated freeze-thaw cycles. |
Background
Cluster of differentiation 27 (CD27) is a member of the tumour necrosis factor receptor superfamily and plays a key role in T-cell activation by providing a costimulatory signal. Bound to its natural ligand CD70, CD27 signalling enhances T-cell proliferation and differentiation to effector and memory T cells and therefore has potential as an immune modulatory target in cancer treatment. The CD27 agonistic antibody varlilumab showed promising efficacy in haematological as well as solid cancers. Current studies investigate the combination of the CD27 agonistic antibody varlilumab in combination with the PD1 axis targeting immune checkpoint inhibitors like nivolumab or atezolizumab. Further, CD70 expression is used as a therapeutic target for ADCs, antibodies inducing ADCC, as well as the immunological target for chimeric antigen receptor gene-modified T cells and specific dendritic cell vaccination. In line with this, targeting the CD27 axis was shown to be feasible and safe in early clinical trials with the most commonly occurring side effects being thrombocytopenia, fatigue and nausea.
Picture
Picture
SDS-PAGE

RP-HPLC

ELISA

Immobilized CD27/TNFRSF7 His Tag, Human (Cat. No. UA010124) at 2.0μg/mL (100μL/well) can bind CD27 Ligand/TNFSF7 Fc Chimera, Human (Cat. No. UA010611) with EC50 of 5.89-20.94ng/mL.
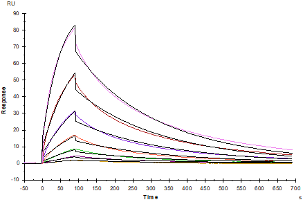
Molecular Interaction

Protein A Chip captured CD27 Ligand/TNFSF7 Fc Chimera, Human (Cat. No. UA010611), can bind CD27/TNFRSF7 His Tag, Human (Cat. No. UA010124) with an affinity constant of 1.16μM as determined in SPR assay.



