Product Details
Product Details
Product Specification
Species | Human |
Accession | P15151 |
Amino Acid Sequence | Trp21-Asn343, with C-terminal Human IgG1 Fc WPPPGTGDVVVQAPTQVPGFLGDSVTLPCYLQVPNMEVTHVSQLTWARHGESGSMAVFHQTQGPSYSESKRLEFVAARLGAELRNASLRMFGLRVEDEGNYTCLFVTFPQGSRSVDIWLRVLAKPQNTAEVQKVQLTGEPVPMARCVSTGGRPPAQITWHSDLGGMPNTSQVPGFLSGTVTVTSLWILVPSSQVDGKNVTCKVEHESFEKPQLLTVNLTVYYPPEVSISGYDNNWYLGQNEATLTCDARSNPEPTGYNWSTTMGPLPPFAVAQGAQLLIRPVDKPINTTLICNVTNALGARQAELTVQVKEGPPSEHSGISRNGGGSGGGSPKSSDKTHTCPPCPAPELLGGPSVFLFPPKPKDTLMISRTPEVTCVVVDVSHEDPEVKFNWYVDGVEVHNAKTKPREEQYNSTYRVVSVLTVLHQDWLNGKEYKCKVSNKALPAPIEKTISKAKGQPREPQVYTLPPSRDELTKNQVSLTCLVKGFYPSDIAVEWESNGQPENNYKTTPPVLDSDGSFFLYSKLTVDKSRWQQGNVFSCSVMHEALHNHYTQKSLSLSPGK |
Expression System | HEK293 |
Molecular Weight | 79-95kDa (Reducing) |
Purity | >95% by SDS-PAGE |
Endotoxin | <0.1EU/μg |
Conjugation | Unconjugated |
Tag | Human Fc Tag |
Physical Appearance | Lyophilized Powder |
Storage Buffer | PBS, pH7.4 |
Reconstitution | Reconstitute at 0.1-1 mg/ml according to the size in ultrapure water after rapid centrifugation. |
Stability & Storage | · 12 months from date of receipt, lyophilized powder stored at -20 to -80℃. · 3 months, -20 to -80℃ under sterile conditions after reconstitution. · 1 week, 2 to 8℃ under sterile conditions after reconstitution. · Please avoid repeated freeze-thaw cycles. |
Background
CD155 is a member of the immunoglobulin superfamily also known as the human receptor for poliovirus (PVR). The full length (or PVR alpha isoform) is synthesized as a 417 amino acid (aa) precursor that contains a 20aa signal sequence, a 323aa extracellular region, a 24aa TM segment and a 50aa cytoplasmic tail. It has been demonstrated that CD155 can be recognized and bond by DNAM-1 and CD96 which promote the adhesion, migration and NK-cell killing, and thus efficiently prime cell-mediated tumor-specific immunity. CD155 is expressed at high levels in several human malignancies and seems to have pro tumorigenic and therapeutically attractive properties that are currently being investigated in the field of recombinant oncolytic vitro therapy. More intriguingly, PVR participates in a considerable number of immunoregulatory functions through its interactions with activating and inhibitory immune cell receptors. These functions are often modified in the tumor microenvironment, contributing to tumor immunosuppression.
Picture
Picture
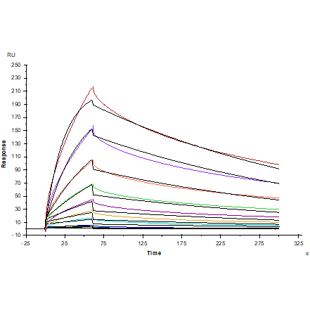
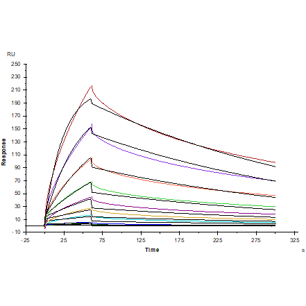
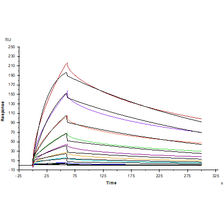
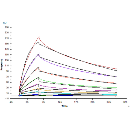
Bioactivity






SDS-PAGE







