Product Details
Product Details
Product Specification
Species | Mouse |
Antigen | uPAR/CD87 |
Synonyms | Monocyte activation antigen Mo3, U-PAR, uPAR, CD8, Urokinase-Type Plasminogen Activator (UPA) Receptor, URKR, U-Plasminogen Activator Receptor Form 2, CD87 Antigen, Plasminogen Activator, Urokinase Receptor, MO3 |
Accession | P35456 |
Amino Acid Sequence | Leu24-Gly298, with C-terminal 8*His LQCMQCESNQSCLVEECALGQDLCRTTVLREWQDDRELEVVTRGCAHSEKTNRTMSYRMGSMIISLTETVCATNLCNRPRPGARGRAFPQGRYLECASCTSLDQSCERGREQSLQCRYPTEHCIEVVTLQSTERSLKDEDYTRGCGSLPGCPGTAGFHSNQTFHFLKCCNYTHCNGGPVLDLQSFPPNGFQCYSCEGNNTLGCSSEEASLINCRGPMNQCLVATGLDVLGNRSYTVRGCATASWCQGSHVADSFPTHLNVSVSCCHGSGCNSPTGGGGSHHHHHHHH |
Expression System | HEK293 |
Molecular Weight | 45-70kDa |
Purity | >95% by SDS-PAGE |
Endotoxin | <0.1EU/μg |
Conjugation | Unconjugated |
Tag | His Tag |
Physical Appearance | Lyophilized Powder |
Storage Buffer | PBS, pH7.4 |
Reconstitution | Reconstitute at 0.1-1 mg/ml according to the size in ultrapure water after rapid centrifugation. |
Stability & Storage | · 12 months from date of receipt, lyophilized powder stored at -20 to -80℃. · 3 months, -20 to -80℃ under sterile conditions after reconstitution. · 1 week, 2 to 8℃ under sterile conditions after reconstitution. · Please avoid repeated freeze-thaw cycles. |
Reference | 1.Desmedt, S. et al. (2017) Crit. Rev. Clin. Lab. Sci. 54:117.2.Smith, H. et al. (2010) Nat Rev Mol Cell Biol 11:23. |
Background
Urokinase plasminogen activator surface receptor (U-PAR) is also known as PLAUR, Monocyte activation antigen Mo3, CD antigen CD87.The urokinase-type Plasminogen Activator (uPA) is one of two activators that converts the extracellular zymogen plasminogen to plasmin, a serine protease that is involved in a variety of normal and pathological processes that require cell migration and/or tissue destruction. uPA is synthesized and released from cells as a single-chain (sc) pro-enzyme with limited enzymatic activity and is converted to an active two-chain (tc) disulfide-linked active enzyme by plasmin and other specific proteinases. Both the scuPA and tcuPA bind with high-affinity to the cell surface via the glycosyl phosphatidylinositol-linked receptor uPAR which serves to localize the uPA proteolytic activity. The enzymatic activity of scuPA has also been shown to be enhanced by binding to uPAR. Independent of their proteolytic activity, the uPA/uPAR interaction also initiates signal transduction responses resulting in activation of protein tyrosine kinases, gene expression, cell adhesion, and chemotaxis. uPAR can interact with integrins to suppress normal integrin adhesive function and promote adhesion to vitronectin through a high affinity vitronectin binding site on uPAR. The uPA/uPAR interaction initiates signal transduction responses resulting in activation of protein tyrosine kinases, gene expression, cell adhesion, and chemotaxis. uPAR can interact with integrins to suppress normal integrin adhesive function and promote adhesion to vitronectin through a high affinity vitronectin binding site on uPAR. uPAR is considered as a biomarker in many inflammatory diseases including cancer, cardiovascular diseases, chronic kidney diseases and diabetes.
Picture
Picture
SDS-PAGE

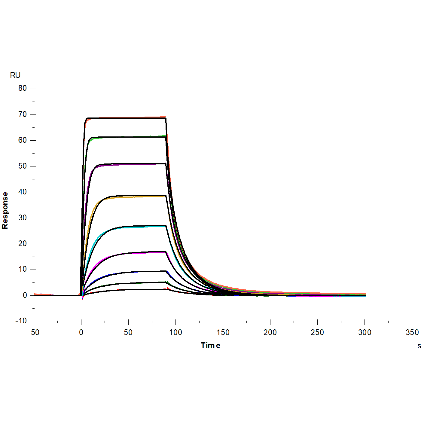
SPR

CM5 Chip captured uPAR/CD87 His Tag Protein, Mouse (Cat. No. UA010508), can bind Human PLAU/uPA Protein, His Tag with an affinity constant of 10.30nM as determined in SPR assay.

