Product Details
Product Details
Product Specification
Species | Mouse |
Antigen | TNFRSF10B/TRAIL R2 |
Synonyms | TNFRSF10B,TRAILR2,TRAIL-R2,CD262,DR5,KILLER,TRICK2,ZTNFR9,TRICKB |
Accession | Q9QZM4 |
Amino Acid Sequence | Asn53-Ser177, with C-terminal 8*His NPAHNRPAGLQRPEESPSRGPCLAGQYLSEGNCKPCREGIDYTSHSNHSLDSCILCTVCKEDKVVETRCNITTNTVCRCKPGTFEDKDSPEICQSCSNCTDGEEELTSCTPRENRKCVSKTAWASGGGSHHHHHHHH |
Expression System | HEK293 |
Molecular Weight | 20-33kDa |
Purity | >95% by SDS-PAGE |
Endotoxin | <0.1EU/μg |
Conjugation | Unconjugated |
Tag | His Tag |
Physical Appearance | Lyophilized Powder |
Storage Buffer | PBS, pH7.4 |
Reconstitution | Reconstitute at 0.1-1 mg/ml according to the size in ultrapure water after rapid centrifugation. |
Stability & Storage | · 12 months from date of receipt, lyophilized powder stored at -20 to -80℃. · 3 months, -20 to -80℃ under sterile conditions after reconstitution. · 1 week, 2 to 8℃ under sterile conditions after reconstitution. · Please avoid repeated freeze-thaw cycles. |
Reference | 1.Walczak, H. et al. (1997) EMBO J. 16:5386. |
Background
TNFRSF10B, also called TRAIL R2 and DR5, is a member of the TNF receptor superfamily. TRAIL-R2 contains two extracellular cysteine-rich repeats, typical for TNF receptor (TNFR) family members, and a cytoplasmic death domain. TNFRSF10B / DR-5 is widely expressed in adult and fetal tissues; very highly expressed in tumor cell lines. Human and mouse TRAIL R2 share 49% amino acid sequence similarity. Some studies have suggested that TNFRSF10B contributes more than TNFRSF10A (TRAIL R1) to TRAIL-induced apoptosis in cancer cells that express both receptors. In addition, agonistic monoclonal antibodies against TNFRSF10B, which can induce apoptosis in the absence of TRAIL, are used for cancer therapies.
Picture
Picture
SDS-PAGE

ELISA

Immobilized
TRAIL/Apo2L, Human (Cat. No. UA040039) at 2.0μg/mL (100μL/well) can bind
TNFRSF10B/TRAIL R2 His Tag, Mouse (Cat. No. UA010509) with EC50 of 30.69-44.23
ng/ml.
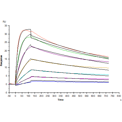
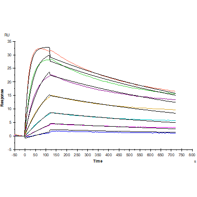
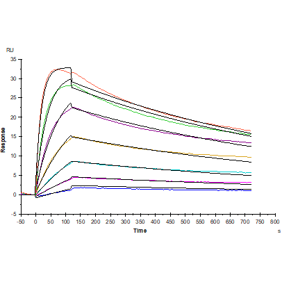
SPR

Anti-His antibody Immobilized on CM5 Chip captured TNFRSF10B/TRAIL R2 His Tag, Mouse (Cat. No. UA010509), can bind TRAIL/Apo2L, Human (Cat. No. UA040039) with an affinity constant of 4.67nM as determined in SPR assay.


