2μg (R: reducing condition, N: non-reducing condition).
Product Details
Product Details
Product Specification
Species | Mouse |
Synonyms | MPL, C-MPL, CD110, MPLV, THCYT2, TPOR |
Accession | Q08351-1 |
Amino Acid Sequence | Gln26-Trp482 with His Tag at the C-terminus |
Expression System | HEK293 |
Molecular Weight | 60-72kDa (Reducing) |
Purity | >95% by SDS-PAGE & SEC-HPLC |
Conjugation | Unconjugated |
Tag | His Tag |
Physical Appearance | Lyophilized Powder |
Storage Buffer | PBS, PH7.4, 5% trehalose |
Reconstitution | Reconstitute at 0.1-1 mg/ml according to the size in ultrapure water after rapid centrifugation. |
Stability & Storage | · 12 months from date of receipt, lyophilized powder stored at -20 to -80℃. |
Reference | Front Biosci (Landmark Ed).2020 Jan 1;25(2):229-241. |
Background
Thrombopoietin receptor (TPO-R), also known as TPO-R, is predominantly expressed on the surface of megakaryocytes (MKs), platelets, hemangioblasts, and hematopoietic stem cells (HSCs). Binding of thrombopoietin (TPO) to the megakaryocyte TPO-R leads to several effects: prevention of megakaryocyte apoptosis, increased megakaryocyte number, size, and ploidy, accelerated maturation of megakaryocytes, and internalization of the TPO/TPO-R complex. Thrombopoietin R is involved in multiple signal transduction pathways, including JAK, STAT, and MAP kinase pathways.
Picture
Picture
SDS-PAGE
SEC-HPLC
The purity of Thrombopoietin R/TPO R His Tag Protein, Mouse is more than 95% determined by SEC-HPLC.
ELISA
Immobilized TPO (175aa) Protein, Mouse (Cat. No. UA040342) at 2.0μg/mL (100μL/well) can bind Thrombopoietin R/TPO R His Tag Protein, Mouse (Cat. No. UA011170) with EC50 of 0.57-0.69ug/mL.
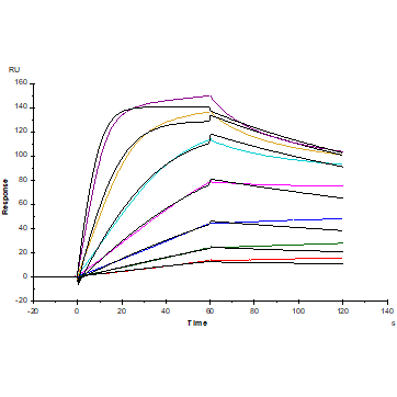
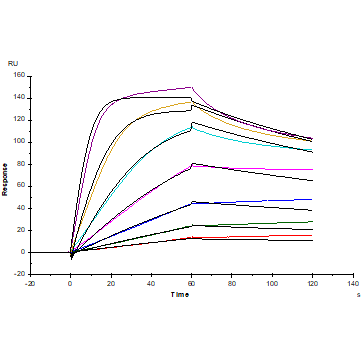
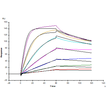
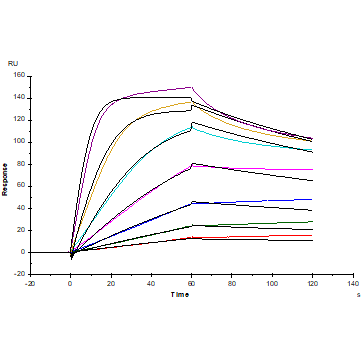
SPR

Anti-His antibody Immobilized on CM5 Chip captured Thrombopoietin R/TPO R His Tag Protein, Mouse (Cat. No. UA011170), can bind TPO (175aa) Protein, Mouse (Cat. No. UA040342) with an affinity constant of 1.54nM as determined in SPR assay.

