Skip to product information
1 of 2

RNF43 mFc Chimera Protein, Mouse

RNF43 mFc Chimera Protein, Mouse

Catalog Number: UA010216 Reactivity: Mouse Conjugation: Unconjugated Brand: UA BIOSCIENCE
Price:
Regular price $560 USD
Regular price Sale price $560 USD
Size:
For shipping services or bulk orders, you may request a quotation.
Secure checkout with
View full details

Product Details

Product Specification


Species Mouse
Synonyms RNF43, RING finger protein 43
Accession Q5NCP0
Amino Acid Sequence Ala34-Tyr197, with C-terminal mIgG2a Fc
Expression System HEK293
Molecular Weight 55-60kDa
Purity >95% by SDS-PAGE
Endotoxin <0.1EU/μg
Conjugation Unconjugated
Tag Mouse Fc Tag
Physical Appearance Lyophilized Powder
Storage Buffer PBS, pH7.4
Reconstitution Reconstitute at 0.1-1 mg/ml according to the size in ultrapure water after rapid centrifugation.
Stability & Storage · 12 months from date of receipt, lyophilized powder stored at -20 to -80℃.
· 3 months, -20 to -80℃ under sterile conditions after reconstitution.
· 1 week, 2 to 8℃ under sterile conditions after reconstitution.
· Please avoid repeated freeze-thaw cycles.
Reference

1、Radaszkiewicz T. et al. (2021) RNF43 inhibits WNT5A driven signaling and suppresses melanoma invasion. eLife Sciences. 10.

Background

RNF43 is an E3 ubiquitin ligase and known negative regulator of WNT/β-catenin signaling. We demonstrate that RNF43 is also a regulator of noncanonical WNT5A- induced signaling in human cells. Analysis of the RNF43 interactome using BioID and immunoprecipitation showed that RNF43 can interact with the core receptor complex components dedicated to the noncanonical Wnt pathway such as ROR1, ROR2, VANGL1, and VANGL2. RNF43 triggers VANGL2 ubiquitination and proteasomal degradation and clathrin- dependent internalization of ROR1 receptor and inhibits ROR2 activation. These activities of RNF43 are physiologically relevant and block pro-metastatic WNT5A signaling in melanoma. RNF43 inhibits responses to WNT5A, which results in the suppression of invasive properties of melanoma cells.

Picture

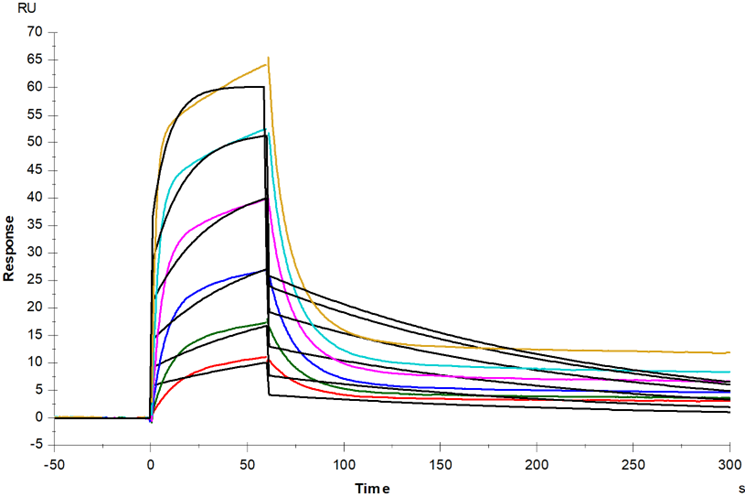
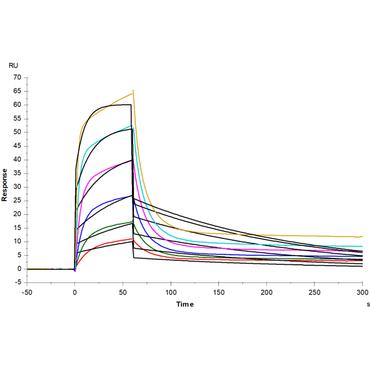
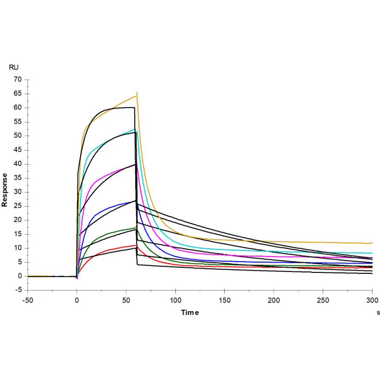
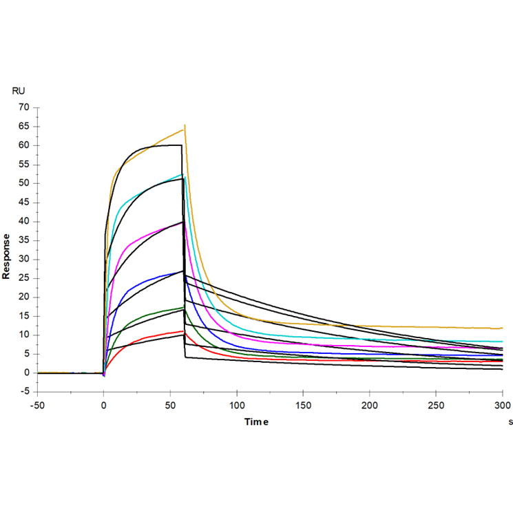
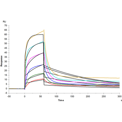
Bioactivity

RNF43 mFc Chimera, Mouse (Cat. No. UA010216) captured on Protein A Biosenor, can bind RSPO1(21-146) His Tag, Human (Cat. No. UA040022) with an affinity constant of 6.73nM as determined in SPR assay.

SDS-PAGE

1μg (R: reducing conditions, N: non-reducing conditions).

Customer Reviews

Be the first to write a review
0%
(0)
0%
(0)
0%
(0)
0%
(0)
0%
(0)