Product Details
Product Details
Product Specification
Species | Mouse |
Antigen | PD-1 |
Synonyms | PD-1, Programmed cell death protein 1, CD279, hPD-1, PDCD1, HPD-L, HSLE1, SLEB2 |
Accession | Q02242 |
Amino Acid Sequence | Leu25-Gln167, with C-terminal 8* His LEVPNGPWRSLTFYPAWLTVSEGANATFTCSLSNWSEDLMLNWNRLSPSNQTEKQAAFCNGLSQPVQDARFQIIQLPNRHDFHMNILDTRRNDSGIYLCGAISLHPKAKIEESPGAELVVTERILETSTRYPSPSPKPEGRFQGGGSHHHHHHHH |
Expression System | HEK293 |
Molecular Weight | 37-41kDa |
Purity | >95% by SDS-PAGE |
Endotoxin | <0.1EU/μg |
Conjugation | Unconjugated |
Tag | His Tag |
Physical Appearance | Lyophilized Powder |
Storage Buffer | PBS, pH7.4 |
Reconstitution | Reconstitute at 0.1-1 mg/ml according to the size in ultrapure water after rapid centrifugation. |
Stability & Storage | · 12 months from date of receipt, lyophilized powder stored at -20 to -80℃. · 3 months, -20 to -80℃ under sterile conditions after reconstitution. · 1 week, 2 to 8℃ under sterile conditions after reconstitution. · Please avoid repeated freeze-thaw cycles. |
Reference |
1、James E S. et al. (2005) PDCD1: a tissue-specific susceptibility locus for inherited inflammatory disorders. Genes Immun. 6(5): 430-437. 2、Okazaki T. et al. (2007) PD-1 and PD-1 ligands: from discovery to clinical application. Int Immunol. 19(7): 813-824. 3、del Rio M L. et al. (2008) PD-1/PD-L1, PD-1/PD-L2, and other co-inhibitory signaling pathways in transplantation. Transpl Int. 21(11): 1015-1028. 4、Riley J L. (2009) PD-1 signaling in primary T cells. Immunol Rev. 229(1): 114-125. |
Background
Programmed cell death protein 1, also known as PD-1 and CD279 (cluster of differentiation 279) or PDCD1, is a protein that in humans is encoded by the PDCD1 gene. Mature Cynomolgus monkey PD-1 consists of a 148 amino acid (aa) extracellular region (ECD) with one immunoglobulin-like V-type domain, a 24 aa transmembrane domain, and a 95 aa cytoplasmic region. The Cynomolgus monkey PD-1 ECD shares 95% aa sequence identity with the human PD-1 ECD. The cytoplasmic tail contains two tyrosine residues that form the immunoreceptor tyrosine-based inhibitory motif (ITIM) and immunoreceptor tyrosine-based switch motif (ITSM) that are important for mediating PD-1 signaling. PD‑1 is expressed on activated T cells, B cells, monocytes, and dendritic cells while. PD-L1 expression is constitutive on the same cells and also on nonhematopoietic cells such as lung endothelial cells and hepatocytes. Ligation of PD-L1 with PD-1 induces co-inhibitory signals on T cells promoting their apoptosis, anergy, and functional exhaustion.
Picture
Picture
SDS-PAGE

ELISA

Immobilized PD-1 His Tag, Mouse (Cat. No. UA010292) at 2.0μg/mL (100μL/well) can bind PD-L1/B7-H1 Fc Chimera, Mouse (Cat. No. UA010259) with EC50 of 2.18-3.03μg/ml.
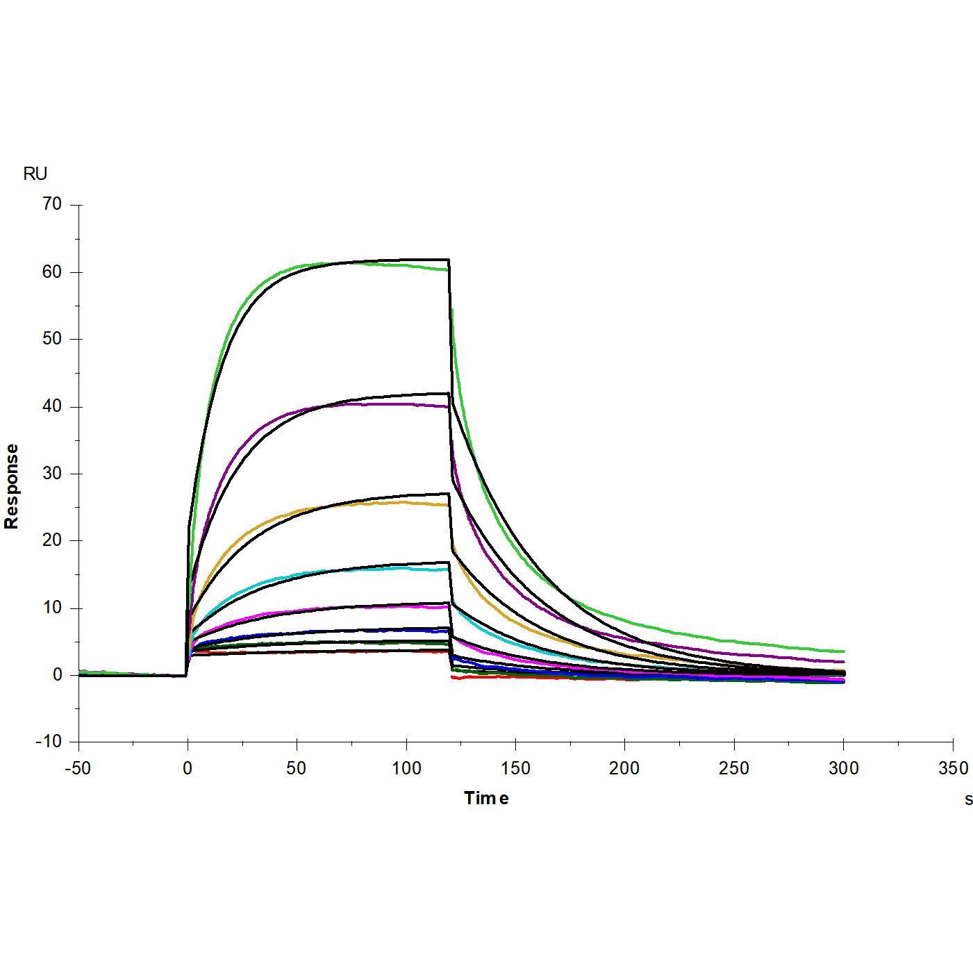
SPR

Protein A Chip captured PD-L1/B7-H1 Fc Chimera, Mouse (Cat. No. UA010259), can bind PD-1 His Tag, Mouse (Cat. No. UA010292) with an affinity constant of 0.42μM as determined in SPR assay.

Anti-His antibody Immobilized on CM5 Chip captured PD-1 His Tag, Mouse (Cat. No. UA010292), can bind PD-L2/B7-DC Fc Chimera, Mouse (Cat. No. UA010337) with an affinity constant of 0.31 μM as determined in SPR assay.



