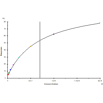
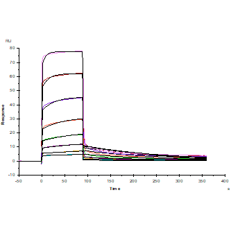
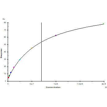
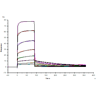
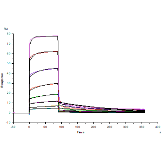
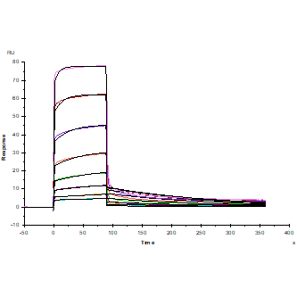
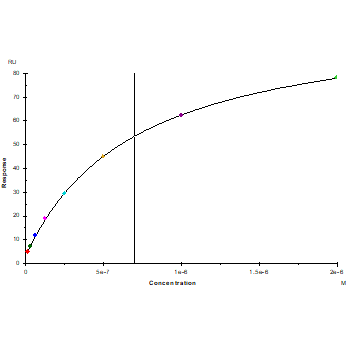
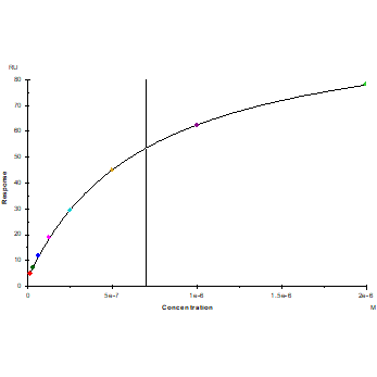
Protein A Chip captured CD47 Fc Chimera, Mouse(Cat. No. UA010266), can bind SIRP-α/CD172A His Tag, Mouse(Cat. No. UA010619) with an affinity constant of 0.70μM as determined in SPR assay.
Product Details
Product Details
Product Specification
| Species | Mouse |
| Synonyms | CD47, MER6, IAP, OA3 |
| Accession | Q61735 |
| Amino Acid Sequence | Gln19-Lys140, with C-terminal hIgG1 Fc QLLFSNVNSIEFTSCNETVVIPCIVRNVEAQSTEEMFVKWKLNKSYIFIYDGNKNSTTTDQNFTSAKISVSDLINGIASLKMDKRDAMVGNYTCEVTELSREGKTVIELKNRTVSWFSPNEKIEGRMDPKSSDKTHTCPPCPAPELLGGPSVFLFPPKPKDTLMISRTPEVTCVVVDVSHEDPEVKFNWYVDGVEVHNAKTKPREEQYNSTYRVVSVLTVLHQDWLNGKEYKCKVSNKALPAPIEKTISKAKGQPREPQVYTLPPSRDELTKNQVSLTCLVKGFYPSDIAVEWESNGQPENNYKTTPPVLDSDGSFFLYSKLTVDKSRWQQGNVFSCSVMHEALHNHYTQKSLSLSPGK |
| Expression System | HEK293 |
| Molecular Weight | 55-70kDa |
| Purity | >95% by SDS-PAGE |
| Endotoxin | <0.1EU/μg |
| Conjugation | Unconjugated |
| Tag | Human Fc Tag |
| Physical Appearance | Lyophilized Powder |
| Storage Buffer | PBS, pH7.4 |
| Reconstitution | Reconstitute at 0.1-1 mg/ml according to the size in ultrapure water after rapid centrifugation. |
| Stability & Storage | · 12 months from date of receipt, lyophilized powder stored at -20 to -80℃. · 3 months, -20 to -80℃ under sterile conditions after reconstitution. · 1 week, 2 to 8℃ under sterile conditions after reconstitution. · Please avoid repeated freeze-thaw cycles. |
| Reference |
1、Brown E J. et al. (2001) Integrin-associated protein (CD47) and its ligands. Trends Cell Biol. 11(3): 130-135. 2、Oldenborg P A. (2004) Role of CD47 in erythroid cells and in autoimmunity. Leuk Lymphoma. 45(7): 1319-1327. 3、Kaczorowski D J. et al. (2007) Targeting CD47: NO limit on therapeutic potential. Circ Res. 100(5): 602-603. |
Background
CD47, also known as Integrin-associated protein (IAP), is a typical representative of the "marker of self" of targets expressed by all types of cells. CD47 is a glycoprotein with an immunoglobulin variable N-terminal domain, five transmembrane domains, and a short C-terminal intracellular tail with four variably different splicing isomers, resulting in four isoforms. CD47 is an immune cell group that plays a major role in targeted tumor immunotherapy. CD47 expressed by cancer cells interacts with Sirp-α and Sirp-γ expressed by NK cells to protect cancer cells from phagocytosis and elimination. CD47 was highly expressed in a variety of solid tumor cells and malignant hematoma cells, and its expression level was positively correlated with disease progression.
Picture
Picture
Bioactivity



Immobilized SIRP-α/CD172A His Tag, Mouse (Cat. No. UA010619) at 2.0μg/mL (100μL/well) can bind CD47 Fc Chimera, Mouse (Cat. No. UA010266) with EC50 of 0.070-0.10μg/ml.

Immobilized SIRP-α/CD172a His Tag, Rat (Cat. No. UA010780) at 2.0μg/mL (100μL/well) can bind CD47 Fc Chimera, Mouse (Cat. No. UA010266) with EC50 of 51.28-62.15 ng/mL.
SDS-PAGE

