Product Details
Product Details
Product Specification
| Species | Human |
| Synonyms | CD47 Fc Chimera protein ;antigen identified by monoclonal 1D8, Antigenic surface determinant protein OA3, CD47 antigen (Rh-related antigen, integrin-associated signal transducer), CD47 antigen, CD47 glycoprotein, CD47 molecule, CD47, IAP, IAPintegrin associated protein, Integrin-associated protein, leukocyte surface antigen CD47, MER6, MER6integrin-associated signal transducer, OA3, Protein MER6, Rh-related antigen |
| Accession | Q08722 |
| Amino Acid Sequence | Gln19-Pro139, with C-terminal Human IgG Fc |
| Expression System | HEK293 |
| Molecular Weight | 55~65 kDa(Reducing) |
| Purity | >95%, by SDS-PAGE under reducing conditions |
| Endotoxin | <0.1EU/μg |
| Conjugation | Unconjugated |
| Tag | Human Fc Tag |
| Physical Appearance | Lyophilized powder |
| Storage Buffer | PBS, pH7.2, 5% trehalose |
| Reconstitution | Reconstitute at less than 1 mg/mL according to the size in ultrapure water after rapid centrifugation . |
| Stability & Storage | · 12 months from date of receipt, lyophilized powder stored at -20 to -80℃. · 3 months, -20 to -80℃ under sterile conditions after reconstitution. · 1 week, 2 to 8℃ under sterile conditions after reconstitution. · Please avoid repeated freeze-thaw cycles. |
Background
CD47 (Cluster of Differentiation 47), also known as integrin associated protein (IAP), is a transmembrane protein that in humans is encoded by the CD47 gene. It belongs to the immunoglobulin superfamily and partners with membrane integrins and also binds the ligands thrombospondin-1 (TSP-1) and signal-regulatory protein alpha (SIRPα). CD47 is involved in a range of cellular processes, including apoptosis, proliferation, adhesion, and migration. Furthermore, it plays a key role in immune and angiogenic responses. Also CD47 is ubiquitously expressed in human cells and has found to be overexpressed in many different tumor cells.
Picture
Picture
Bioactivity



Immobilized SIRP-α/CD172a His Tag, Cynomolgus (Cat. No. UA010772) at 2.0μg/mL (100μL/well) can bind CD47 Fc Chimera, Human (Cat. No. UA010006) with EC50 of 1.34-1.91 ng/mL.
SDS-PAGE

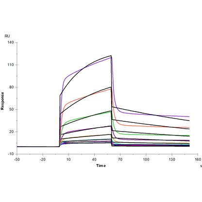
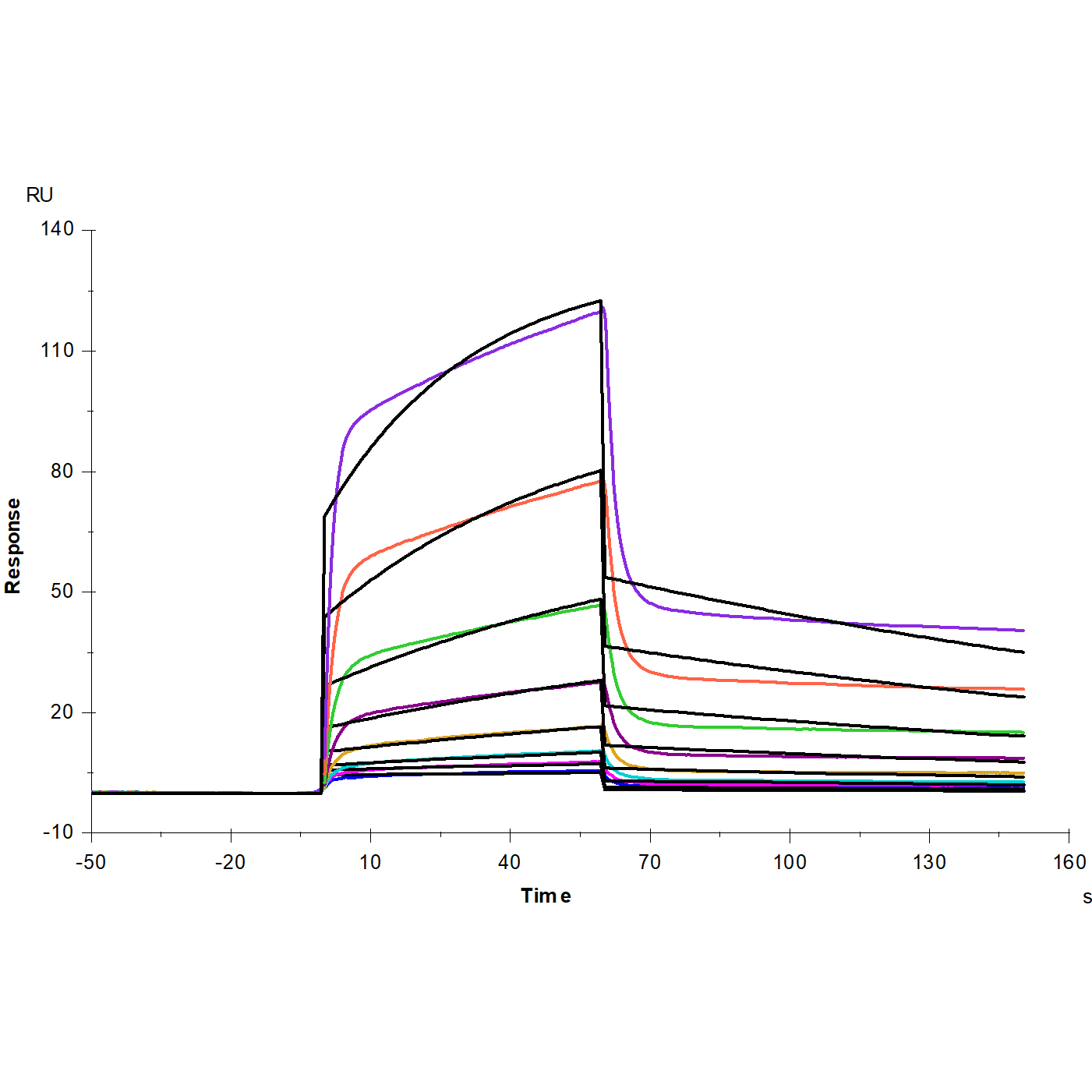
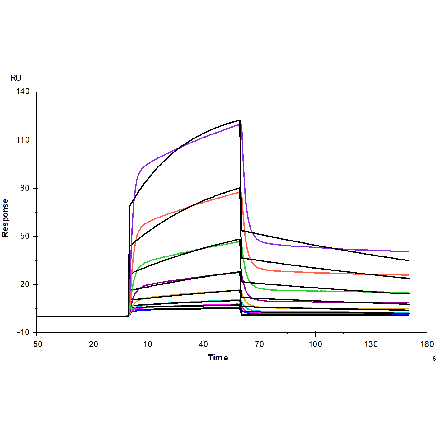
SPR

Anti-His antibody Immobilized on CM5 Chip captured SIRP-α His Tag, Human (Cat. No. UA010009), can bind CD47 Fc Chimera, Human(Cat. No. UA010006) with an affinity constant of 4.828 nM as determined in SPR assay.

Protein A Chip captured CD47 Fc Chimera, Human (Cat. No. UA010006), can bind SIRP-α/CD172a His Tag, Cynomolgus(Cat. No. UA010772) with an affinity constant of 43.88nM as determined in SPR assay.
